Gemeinderatsprotokolle seit 2002
Jahr:
/ Ausgabe 06-Kurzprotokoll_24.05.2017.pdf
Suchen und Blättern in über 600 PDFs mit 54.000 Seiten.
Die 20 Seiten dieser Ausgabe:
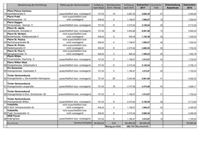
Kurzprotokoll 2017-05-24
2017-05-24 | Seite 1

2017-05-24 | Seite 2

2017-05-24 | Seite 3

2017-05-24 | Seite 4

2017-05-24 | Seite 5

2017-05-24 | Seite 6

2017-05-24 | Seite 7

2017-05-24 | Seite 8

2017-05-24 | Seite 9

2017-05-24 | Seite 10

2017-05-24 | Seite 11

2017-05-24 | Seite 12

2017-05-24 | Seite 13

2017-05-24 | Seite 14

2017-05-24 | Seite 15

2017-05-24 | Seite 16

2017-05-24 | Seite 17

2017-05-24 | Seite 18

2017-05-24 | Seite 19

2017-05-24 | Seite 20