Gemeinderatsprotokolle seit 2002

Jahr: 2017

/ Ausgabe: 06-Kurzprotokoll_24.05.2017.pdf

- S.19

Suchen und Blättern in über 500 PDFs und 44.000 Seiten.





vorhergehende ||| nächste Seite im Dokument

Zur letzten Suche
Diese Ausgabe – 06-Kurzprotokoll_24.05.2017.pdf
Ausgaben dieses Jahres – 2017
Alle Ausgaben

Dieses Bild anzeigen/herunterladen
Gesamter Text dieser Seite:
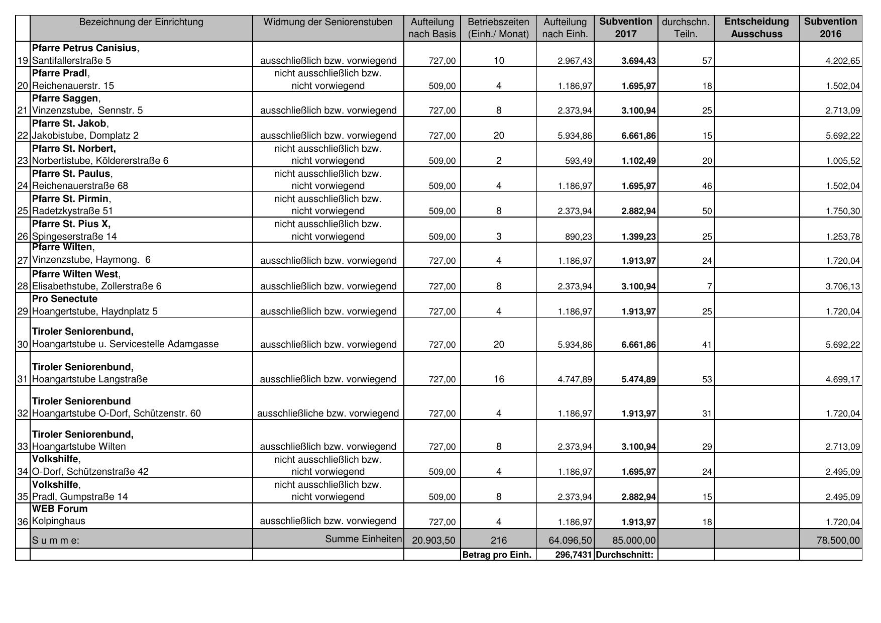
Bezeichnung der Einrichtung

Subvention
2016

ausschließlich bzw. vorwiegend
nicht ausschließlich bzw.
nicht vorwiegend

727,00

10

2.967,43

3.694,43

57

4.202,65

509,00

4

1.186,97

1.695,97

18

1.502,04

ausschließlich bzw. vorwiegend

727,00

8

2.373,94

3.100,94

25

2.713,09

ausschließlich bzw. vorwiegend
nicht ausschließlich bzw.
nicht vorwiegend
nicht ausschließlich bzw.
nicht vorwiegend
nicht ausschließlich bzw.
nicht vorwiegend
nicht ausschließlich bzw.
nicht vorwiegend

727,00

20

5.934,86

6.661,86

15

5.692,22

509,00

2

593,49

1.102,49

20

1.005,52

509,00

4

1.186,97

1.695,97

46

1.502,04

509,00

8

2.373,94

2.882,94

50

1.750,30

509,00

3

890,23

1.399,23

25

1.253,78

ausschließlich bzw. vorwiegend

727,00

4

1.186,97

1.913,97

24

1.720,04

ausschließlich bzw. vorwiegend

727,00

8

2.373,94

3.100,94

7

3.706,13

ausschließlich bzw. vorwiegend

727,00

4

1.186,97

1.913,97

25

1.720,04

Tiroler Seniorenbund,
30 Hoangartstube u. Servicestelle Adamgasse

ausschließlich bzw. vorwiegend

727,00

20

5.934,86

6.661,86

41

5.692,22

Tiroler Seniorenbund,
31 Hoangartstube Langstraße

ausschließlich bzw. vorwiegend

727,00

16

4.747,89

5.474,89

53

4.699,17

Tiroler Seniorenbund
32 Hoangartstube O-Dorf, Schützenstr. 60

ausschließliche bzw. vorwiegend

727,00

4

1.186,97

1.913,97

31

1.720,04

ausschließlich bzw. vorwiegend
nicht ausschließlich bzw.
nicht vorwiegend
nicht ausschließlich bzw.
nicht vorwiegend

727,00

8

2.373,94

3.100,94

29

2.713,09

509,00

4

1.186,97

1.695,97

24

2.495,09

509,00

8

2.373,94

2.882,94

15

2.495,09

ausschließlich bzw. vorwiegend

727,00

4

1.186,97

1.913,97

18

1.720,04

Summe Einheiten

20.903,50

216

64.096,50

85.000,00

Tiroler Seniorenbund,
33 Hoangartstube Wilten
Volkshilfe,
34 O-Dorf, Schützenstraße 42
Volkshilfe,
35 Pradl, Gumpstraße 14
WEB Forum
36 Kolpinghaus
S u m m e:

Betrag pro Einh.

Aufteilung
nach Einh.

Entscheidung
Ausschuss

Aufteilung
nach Basis

Pfarre Petrus Canisius,
19 Santifallerstraße 5
Pfarre Pradl,
20 Reichenauerstr. 15
Pfarre Saggen,
21 Vinzenzstube, Sennstr. 5
Pfarre St. Jakob,
22 Jakobistube, Domplatz 2
Pfarre St. Norbert,
23 Norbertistube, Köldererstraße 6
Pfarre St. Paulus,
24 Reichenauerstraße 68
Pfarre St. Pirmin,
25 Radetzkystraße 51
Pfarre St. Pius X,
26 Spingeserstraße 14
Pfarre Wilten,
Vinzenzstube,
Haymong. 6
27
Pfarre Wilten West,
28 Elisabethstube, Zollerstraße 6
Pro Senectute
29 Hoangertstube, Haydnplatz 5

Betriebszeiten
(Einh./ Monat)

Subvention durchschn.
Teiln.
2017

Widmung der Seniorenstuben

296,7431 Durchschnitt:

78.500,00