Gemeinderatsprotokolle seit 2002

Jahr: 2015

/ Ausgabe: 06-Protokoll_18.06.2015_gsw.pdf

- S.103

Suchen und Blättern in über 500 PDFs und 44.000 Seiten.





vorhergehende ||| nächste Seite im Dokument

Zur letzten Suche
Diese Ausgabe – 06-Protokoll_18.06.2015_gsw.pdf
Ausgaben dieses Jahres – 2015
Alle Ausgaben

Dieses Bild anzeigen/herunterladen
Gesamter Text dieser Seite:
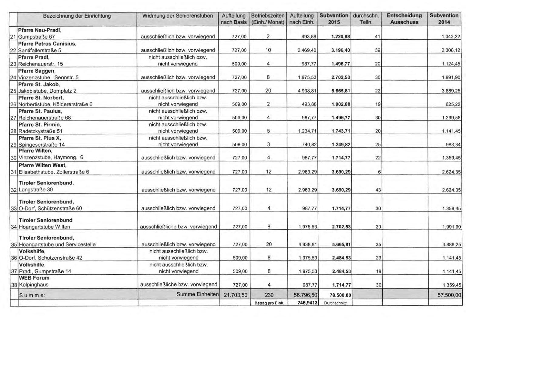
•~ der Einrichtung

Widmung der Seniorenstuben

Auftellung

Auftellung

nach Basis I (~~~J MOnal) naeh Elnh.

durchsehn .
Teiln .

~uu2-;;;ovo,

....

41

" n""

39

2.308,12

2015

IPtarre

I

1 bzw.

I I
nicht
nicht

I

Ibzw.

I

727.00

2

1 bzw.

I

727,00

10

I

, bzw.
509,00

4

987,77

. . . . 77

20

" ... A<

727,00

8

, .7<"

77n . . ,

30

1.991 ,90

ausschließlich bzw,.
nicht
I
I ,bzw.
nicht
I
nicht ouooo•• 1"0",1 0 .1 bzw.
nicht
I
nicht :::11
I ,bzw.
eh
I
I ,bzw.
nicht"" ,
nicht"

727,00

20

4.938.81

5.665.81

22

, AAa,"

509.00

2

493,88

" nn?"

19

825.22

509.00

4

987,77

1 AG. 77

30

1.299.56

509.00

5

1.234,71

, TA"."

20

1.141 .45

509.00

3

740.82

, ,. ,

25

983,34

ausschließlich bzw.

727,00

4

987.77

" 71A 77

22

1.359.45

bzw.

727.00

12

".·"V·

,."an ,.

6

2.624.35

ausschließlich bzw.

727.00

12

, .""a

3.690,29

43

2.624,35

, bzw.

727.00

4

987.77

1.714,77

30

1.359,45

, bzw.

727.00

8

1.975,53

"7n, .,

20

1.991 .90

727,00

20

4.938.81

5.665.81

35

"RRa"

509,00

8

1.975.53

"R" ..

23

1.141,45

509.00

8

.7 . . .

? "RA"

19

1.141 .45

727,00

4

987.77

" 7 " 77

30

" ".,".

.67

21

493.88

" ?On RR

1ptar;e Petrus" ,5
22
1Pfarre Pradl, . 15
23
1Ptarre
24

:Q.Q

~.

0". 5

1

I

I
I

" «.

Ptarre St. Ja~Ob.
2
Ptarre 51.
,6
Ptarre 51. Paulus,
I
,68
Ptarre 51. Plrrnln.
,51

~St. PIUSX.

, 14

•.•

.Wilten.
6
Ptarre Wllt~~ West.
i
,
I
131

132

,6

jTiroler Seniorenbund,
30

""

I

ITiroler Seniorenbund,
..
, 60
I " I,,_n, ",

I

134

ITiroler Seniorenbund
"h ,Wllten

I

35

ITiroler Seniorenbund,
und
i

36 I~"-Dorf.

,42

I

E

~~~:
5 u m m e:

.14

.,

I

I

I ,bzw.

nlch~lcht

I

lbzw.

nlch~ICht

I

lbzw.
I

ausschließliche bzw.

Summe

21.70350

230

.~ 7a~,.n

B.t... "0 Elnh.

246.941:

7R.nn nn

n,

m",

57 .• 00 n,