Gemeinderatsprotokolle seit 2002
Jahr: 2016
/ Ausgabe: 04-Kurzprotokoll_17.03.2016.pdf
- S.16
Suchen und Blättern in über 500 PDFs und 44.000 Seiten.
Gesamter Text dieser Seite:
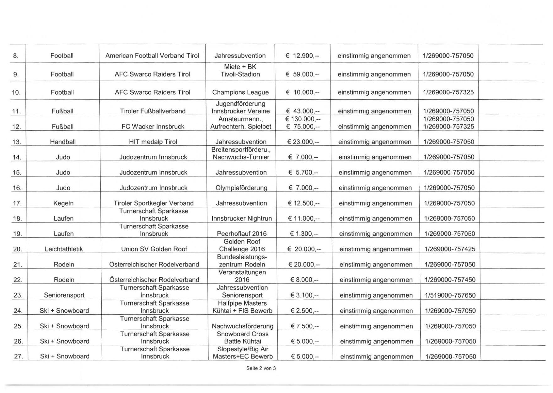
8.
Football
American Football Verband Tirol
Jahressubvention
€ 12.900,--
einstimmig angenommen
1/269000-757050
9.
Football
AFC Swarco Raiders Tirol
Miete + BK
Tivoli-Stadion
€ 59 .000,--
einstimmig angenommen
1/269000-757050
10.
Football
AFC Swarco Raiders Tirol
Champions League
€ 10.000,--
einstimmig angenommen
1/269000-757325
11 .
Fußball
Tiroler Fußball verband
Fußball
FC Wacker Innsbruck
€ 43.000,-€ 130.000,-€ 75 .000,--
einstimmig angenommen
12.
Jugendförderung
Innsbrucker Vereine
Amateurmann .,
Aufrechterh . Spielbet
einstimmig angenommen
1/269000-757050
1/269000-757050
1/269000-757325
13.
Handball
HIT medalp Tirol
€ 23 .000 ,--
einstimmig angenommen
1/269000-757050
14.
Judo
Judozentrum Innsbruck
Jahressubvention
Breitensportförderu. ,
Nachwuchs-Turnier
€ 7.000 ,--
einstimmig angenommen
1/269000-757050
15.
Judo
Judozentrum Innsbruck
Jahressubvention
€ 5.700,--
einstimmig angenommen
1/269000-757050
16.
Judo
Judozentrum Innsbruck
Olympiaförderung
€ 7.000,--
einstimmig angenommen
1/269000-757050
17.
Kegeln
Jahressubvention
€ 12.500,--
einstimmig angenommen
1/269000-757050
18.
Laufen
Innsbrucker Nightrun
€ 11000,--
einstimmig angenommen
1/269000-757050
19.
Laufen
Tiroler Sportkegler Verband
Turnerschaft Sparkasse
Innsbruck
Turnerschaft Sparkasse
Innsbruck
€ 1.300,--
einstimmig angenommen
1/269000-757050
20 .
Leichtathletik
Union SV Golden Roof
€ 20 .000 ,--
einstimmig angenommen
1/269000-757425
21 .
Rodeln
Österreichischer Rodelverband
€ 20.000 ,--
einstimmig a,!~enommen
1/269000-757050
22 .
Rodeln
€ 8.000,--
einstimmig angenommen
1/269000-757450
23.
Seniorensport
€ 3.100 ,--
einstimmig angenommen
1/519000-757650
24 .
Ski + Snowboard
€ 2.500,--
einstimmig angenommen
1/269000-757050
25.
Ski + Snowboard
€ 7.500 ,--
einstimmig angenommen
1/269000-757050
26.
Ski + Snowboard
€ 5000,--
einstimmig angenommen
1/269000-757050
27 .
Ski + Snowboard
Österreichischer Rodelverband
Turnerschaft Sparkasse
Innsbruck
Turnerschaft Sparkasse
Innsbruck
Turnerschaft Sparkasse
Innsbruck
Turnerschaft Sparkasse
Innsbruck
Turnerschaft Sparkasse
Innsbruck
Peerhoflauf 2016
Golden Roof
Challenge 2016
Bundesleistungszentrum Rodeln
Veranstaltungen
2016
Jahressubvention
Seniorensport
Halfpipe Masters
Kühtai + FIS Bewerb
€ 5.000,--
einstimmig angenommen
1/269000-757050
Nachwuchsförderung
Snowboard Cross
Battle Kühtai
Siopestyle/Big Air
Masters+EC Bewerb
Seite 2 von 3