Gemeinderatsprotokolle seit 2002
Jahr: 2025
/ Ausgabe: 2025_03_27_protokoll_ges.pdf
- S.154
Suchen und Blättern in über 500 PDFs und 44.000 Seiten.
Gesamter Text dieser Seite:
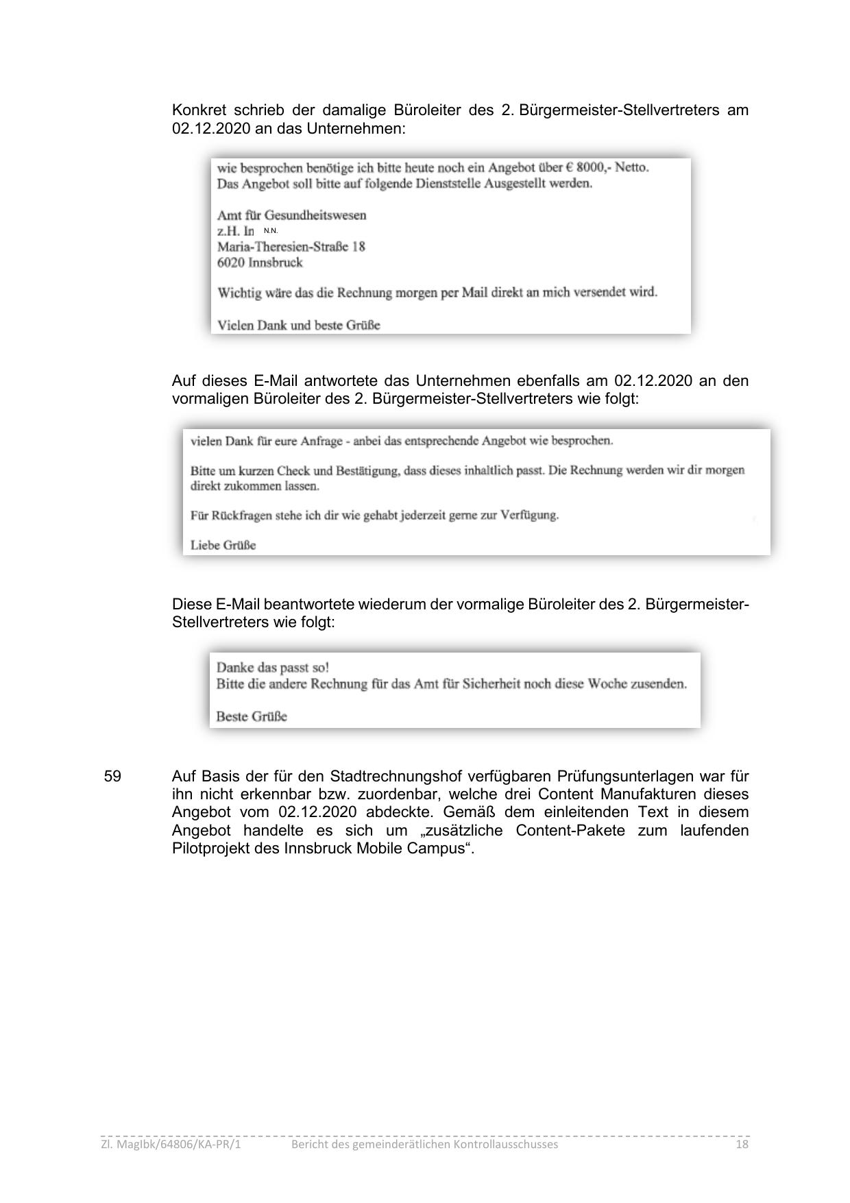
Konkret schrieb der damalige Büroleiter des 2. Bürgermeister-Stellvertreters am
02.12.2020 an das Unternehmen:
wie besprochen benötige ich bitte heute noch ein Angebot über € 8000,- Netto.
Das Angebot soll bitte auf folgende Dienststelle Ausgestellt werden.
Amt für Gesundheitswesen
z.H. In
N.N.
Maria-Theresien-Straße 18
6020 Innsbruck
Wichtig wäre das die Rechnung morgen per Mail direkt an mich versendet wird,
Vielen Dank und beste Grüße
Auf dieses E-Mail antwortete das Unternehmen ebenfalls am 02.12.2020 an den
vormaligen Büroleiter des 2. Bürgermeister-Stellvertreters wie folgt:
vielen Dank für eure Anfrage - anbei das entsprechende Angebot wie besprochen.
Bitte um kurzen Check und Bestätigung, dass dieses inhaltlich passt. Die Rechnung werden wir dir morgen
direkt zukommen lasscn.
Für Rückfragen stehe ich dir wie gehabt jederzeit gemme zur Verfügung.
Liebe Grüße
Diese E-Mail beantwortete wiederum der vormalige Büroleiter des 2. BürgermeisterStellvertreters wie folgt:
Danke das passt so!
Bitte die andere Rechnung für das Amt für Sicherheit noch diese Woche zusenden,
Beste Grüße
59
Auf Basis der für den Stadtrechnungshof verfügbaren Prüfungsunterlagen war für
ihn nicht erkennbar bzw. zuordenbar, welche drei Content Manufakturen dieses
Angebot vom 02.12.2020 abdeckte. Gemäß dem einleitenden Text in diesem
Angebot handelte es sich um „zusätzliche Content-Pakete zum laufenden
Pilotprojekt des Innsbruck Mobile Campus“.
Zl. MagIbk/64806/KA-PR/1
Bericht des gemeinderätlichen Kontrollausschusses
18