Gemeinderatsprotokolle seit 2002

Jahr: 2024

/ Ausgabe: 2024-01-25-GR-Kurzprotokoll.pdf

- S.25

Suchen und Blättern in über 500 PDFs und 44.000 Seiten.





vorhergehende ||| nächste Seite im Dokument

Zur letzten Suche
Diese Ausgabe – 2024-01-25-GR-Kurzprotokoll.pdf
Ausgaben dieses Jahres – 2024
Alle Ausgaben

Dieses Bild anzeigen/herunterladen
Gesamter Text dieser Seite:
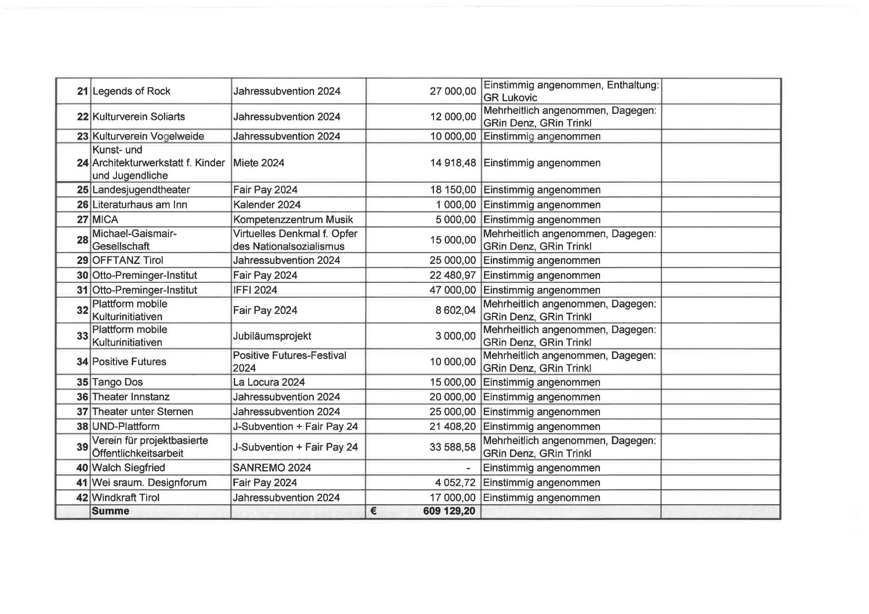
21 Legends of Rock

Jahressubvention 2024

22 Kulturverein Soliarts

Jahressubvention 2024

23 Kulturverein Vogelweide

Jahressubvention 2024

Einstimmig angenommen, Enthaltung:
GR Lukovic
Mehrheitlich angenommen, Dagegen:
12 000,00
GRin Denz, GRin Trinkl
10 000,00 Einstimmig angenommen

27 000,00

Kunst- und

24 Architekturwerkstatt f. Kinder Miete 2024
und Jugendliche
25 Landesjugendtheater

26 Literaturhaus am Inn
27 MICA
Michael-Gaismai rGesellschaft
29 OFFTANZ Tirol
30 Otto-Preminger-lnstitut
31 Otto-Preminger-lnstitut
Plattform mobile
32
Kulturinitiativen
Plattform mobile
33
Ku ltu ri nitiativen

28

34 Positive Futures
35 Tango Dos
36 Theater lnnstanz
37 Theater unter Sternen
38 UND-Plattform
Verein für projektbasierte
Öffentlichkeitsarbeit
40 Walch Siegfried
41 Wei sraum. Designforum

39

42 Windkraft Tirol
Summe

14 918,48 Einstimmig angenommen

Fair Pay 2024
Kalender 2024
Kompetenzzentrum Musik
Virtuelles Denkmal f. Opfer
des Nationalsozialismus
Jahressubvention 2024
Fair Pay 2024
IFFI 2024

18 150,00 Einstimmig angenommen
1 000,00 Einstimmig angenommen
5 000,00 Einstimmig angenommen
Mehrheitlich angenommen, Dagegen:
15 000,00
GRin Denz, GRin Trinkl
25 000,00 Einstimmig angenommen
22 480,97 Einstimmig angenommen
47 000,00 Einstimmig angenommen
Mehrheitlich angenommen, Dagegen:
8 602,04
GRin Denz, GRin Trinkl
Mehrheitlich angenommen, Dagegen:
3 000,00
GRin Denz, GRin Trinkl
Mehrheitlich angenommen, Dagegen:
10 000,00
GRin Denz, GRin Trinkl
15 000,00 Einstimmig angenommen
20 000,00 Einstimmig angenommen
25 000,00 Einstimmig angenommen
21 408,20 Einstimmig angenommen
Mehrheitlich angenommen, Dagegen:
33 588,58
GRin Denz, GRin Trinkl
- Einstimmig angenommen
4 052,72 Einstimmig angenommen

Fair Pay 2024
Jubiläumsprojekt
Positive Futures-Festival
2024
La Locura 2024
Jahressubvention 2024
Jahressubvention 2024
J-Subvention + Fair Pay 24
J-Subvention + Fair Pay 24
SANREMO 2024
Fair Pay 2024
Jahressubvention 2024

17 000,00 Einstimmig angenommen


609129,20