Gemeinderatsprotokolle seit 2002

Jahr: 2023

/ Ausgabe: 2023-01-25-GR-Protokoll.pdf

- S.256

Suchen und Blättern in über 500 PDFs und 44.000 Seiten.





vorhergehende ||| nächste Seite im Dokument

Zur letzten Suche
Diese Ausgabe – 2023-01-25-GR-Protokoll.pdf
Ausgaben dieses Jahres – 2023
Alle Ausgaben

Dieses Bild anzeigen/herunterladen
Gesamter Text dieser Seite:
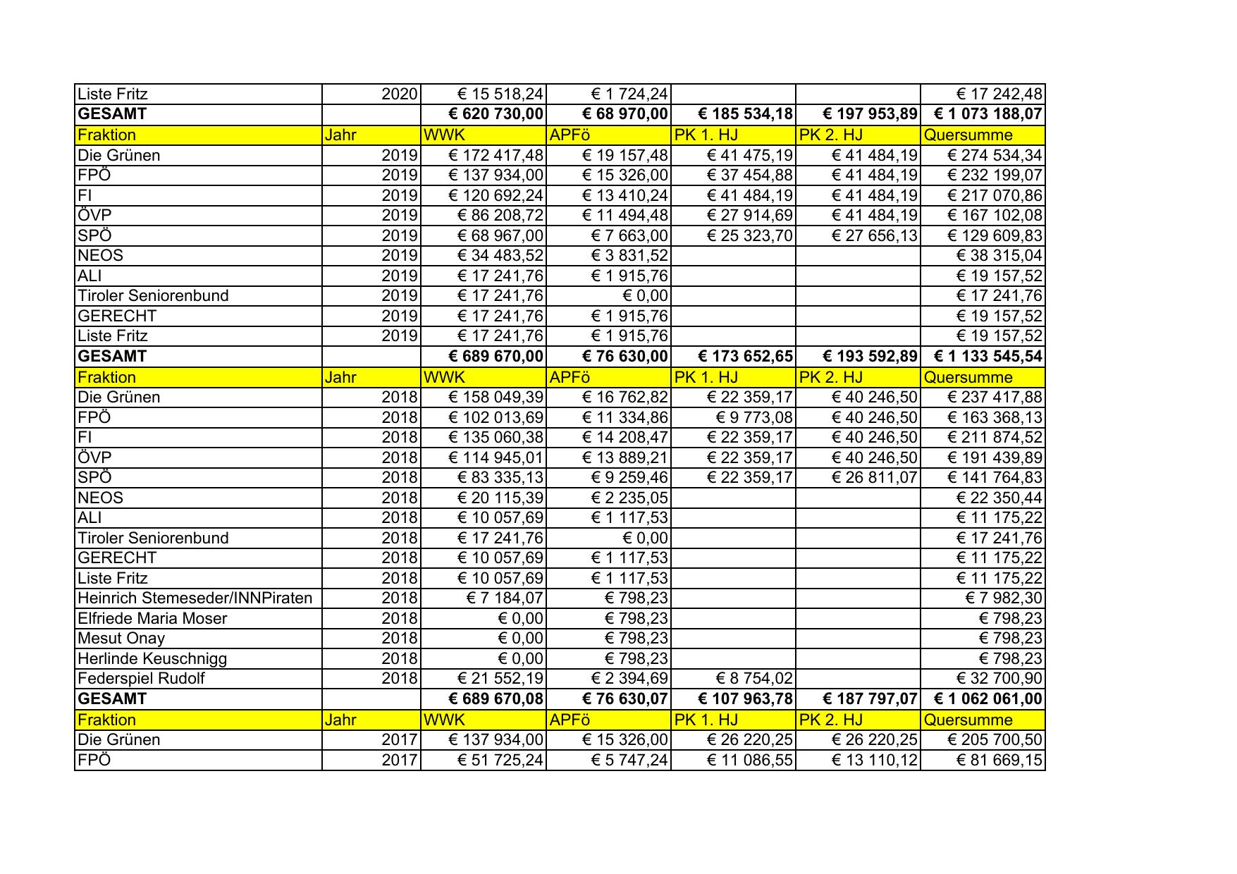
Liste Fritz
GESAMT
Fraktion
Jahr
Die Grünen
FPÖ
FI
ÖVP
SPÖ
NEOS
ALI
Tiroler Seniorenbund
GERECHT
Liste Fritz
GESAMT
Fraktion
Jahr
Die Grünen
FPÖ
FI
ÖVP
SPÖ
NEOS
ALI
Tiroler Seniorenbund
GERECHT
Liste Fritz
Heinrich Stemeseder/INNPiraten
Elfriede Maria Moser
Mesut Onay
Herlinde Keuschnigg
Federspiel Rudolf
GESAMT
Fraktion
Jahr
Die Grünen
FPÖ

2020

€ 15 518,24
€ 1 724,24
€ 17 242,48
€ 620 730,00
€ 68 970,00
€ 185 534,18
€ 197 953,89 € 1 073 188,07
WWK
APFö
PK 1. HJ
PK 2. HJ
Quersumme
2019
€ 172 417,48
€ 19 157,48
€ 41 475,19
€ 41 484,19
€ 274 534,34
2019
€ 137 934,00
€ 15 326,00
€ 37 454,88
€ 41 484,19
€ 232 199,07
2019
€ 120 692,24
€ 13 410,24
€ 41 484,19
€ 41 484,19
€ 217 070,86
2019
€ 86 208,72
€ 11 494,48
€ 27 914,69
€ 41 484,19
€ 167 102,08
2019
€ 68 967,00
€ 7 663,00
€ 25 323,70
€ 27 656,13
€ 129 609,83
2019
€ 34 483,52
€ 3 831,52
€ 38 315,04
2019
€ 17 241,76
€ 1 915,76
€ 19 157,52
2019
€ 17 241,76
€ 0,00
€ 17 241,76
2019
€ 17 241,76
€ 1 915,76
€ 19 157,52
2019
€ 17 241,76
€ 1 915,76
€ 19 157,52
€ 689 670,00
€ 76 630,00
€ 173 652,65
€ 193 592,89 € 1 133 545,54
WWK
APFö
PK 1. HJ
PK 2. HJ
Quersumme
2018
€ 158 049,39
€ 16 762,82
€ 22 359,17
€ 40 246,50
€ 237 417,88
2018
€ 102 013,69
€ 11 334,86
€ 9 773,08
€ 40 246,50
€ 163 368,13
2018
€ 135 060,38
€ 14 208,47
€ 22 359,17
€ 40 246,50
€ 211 874,52
2018
€ 114 945,01
€ 13 889,21
€ 22 359,17
€ 40 246,50
€ 191 439,89
2018
€ 83 335,13
€ 9 259,46
€ 22 359,17
€ 26 811,07
€ 141 764,83
2018
€ 20 115,39
€ 2 235,05
€ 22 350,44
2018
€ 10 057,69
€ 1 117,53
€ 11 175,22
2018
€ 17 241,76
€ 0,00
€ 17 241,76
2018
€ 10 057,69
€ 1 117,53
€ 11 175,22
2018
€ 10 057,69
€ 1 117,53
€ 11 175,22
2018
€ 7 184,07
€ 798,23
€ 7 982,30
2018
€ 0,00
€ 798,23
€ 798,23
2018
€ 0,00
€ 798,23
€ 798,23
2018
€ 0,00
€ 798,23
€ 798,23
2018
€ 21 552,19
€ 2 394,69
€ 8 754,02
€ 32 700,90
€ 689 670,08
€ 76 630,07
€ 107 963,78
€ 187 797,07 € 1 062 061,00
WWK
APFö
PK 1. HJ
PK 2. HJ
Quersumme
2017
€ 137 934,00
€ 15 326,00
€ 26 220,25
€ 26 220,25
€ 205 700,50
2017
€ 51 725,24
€ 5 747,24
€ 11 086,55
€ 13 110,12
€ 81 669,15