Gemeinderatsprotokolle seit 2002

Jahr: 2022

/ Ausgabe: 2022-10-25-GR-Protokoll.pdf

- S.393

Suchen und Blättern in über 500 PDFs und 44.000 Seiten.





vorhergehende ||| nächste Seite im Dokument

Zur letzten Suche
Diese Ausgabe – 2022-10-25-GR-Protokoll.pdf
Ausgaben dieses Jahres – 2022
Alle Ausgaben

Dieses Bild anzeigen/herunterladen
Gesamter Text dieser Seite:
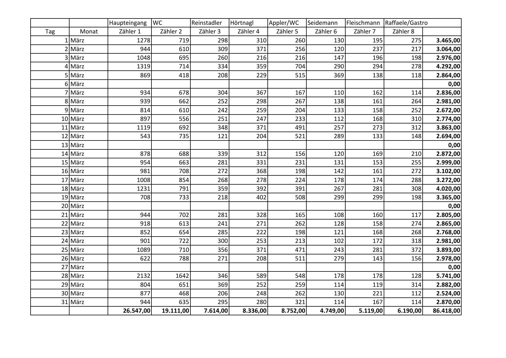
Tag

Monat
1 März
2 März
3 März
4 März
5 März
6 März
7 März
8 März
9 März
10 März
11 März
12 März
13 März
14 März
15 März
16 März
17 März
18 März
19 März
20 März
21 März
22 März
23 März
24 März
25 März
26 März
27 März
28 März
29 März
30 März
31 März

Haupteingang WC
Reinstadler Hörtnagl
Appler/WC Seidemann Fleischmann Raffaele/Gastro
Zähler 1
Zähler 2
Zähler 3
Zähler 4
Zähler 5
Zähler 6
Zähler 7
Zähler 8
1278
719
298
310
260
130
195
275
944
610
309
371
256
120
237
217
1048
695
260
216
216
147
196
198
1319
714
334
359
704
290
294
278
869
418
208
229
515
369
138
118
934
939
814
897
1119
543

678
662
610
556
692
735

304
252
242
251
348
121

367
298
259
247
371
204

167
267
204
233
491
521

110
138
133
112
257
289

162
161
158
168
273
133

114
264
252
310
312
148

878
954
981
1008
1231
708

688
663
708
854
791
733

339
281
272
268
359
218

312
331
368
278
392
402

156
231
198
224
391
508

120
131
142
178
267
299

169
153
161
174
281
299

210
255
272
288
308
198

944
918
852
901
1089
622

702
613
654
722
710
788

281
241
285
300
356
271

328
271
222
253
371
208

165
262
198
213
471
511

108
128
121
102
243
279

160
158
168
172
281
143

117
274
268
318
372
156

2132
804
877
944
26.547,00

1642
651
468
635
19.111,00

346
369
206
295
7.614,00

589
252
248
280
8.336,00

548
259
262
321
8.752,00

178
114
130
114
4.749,00

178
119
221
167
5.119,00

128
314
112
114
6.190,00

3.465,00
3.064,00
2.976,00
4.292,00
2.864,00
0,00
2.836,00
2.981,00
2.672,00
2.774,00
3.863,00
2.694,00
0,00
2.872,00
2.999,00
3.102,00
3.272,00
4.020,00
3.365,00
0,00
2.805,00
2.865,00
2.768,00
2.981,00
3.893,00
2.978,00
0,00
5.741,00
2.882,00
2.524,00
2.870,00
86.418,00