Gemeinderatsprotokolle seit 2002

Jahr: 2022

/ Ausgabe: 2022-10-25-GR-Protokoll.pdf

- S.389

Suchen und Blättern in über 500 PDFs und 44.000 Seiten.





vorhergehende ||| nächste Seite im Dokument

Zur letzten Suche
Diese Ausgabe – 2022-10-25-GR-Protokoll.pdf
Ausgaben dieses Jahres – 2022
Alle Ausgaben

Dieses Bild anzeigen/herunterladen
Gesamter Text dieser Seite:
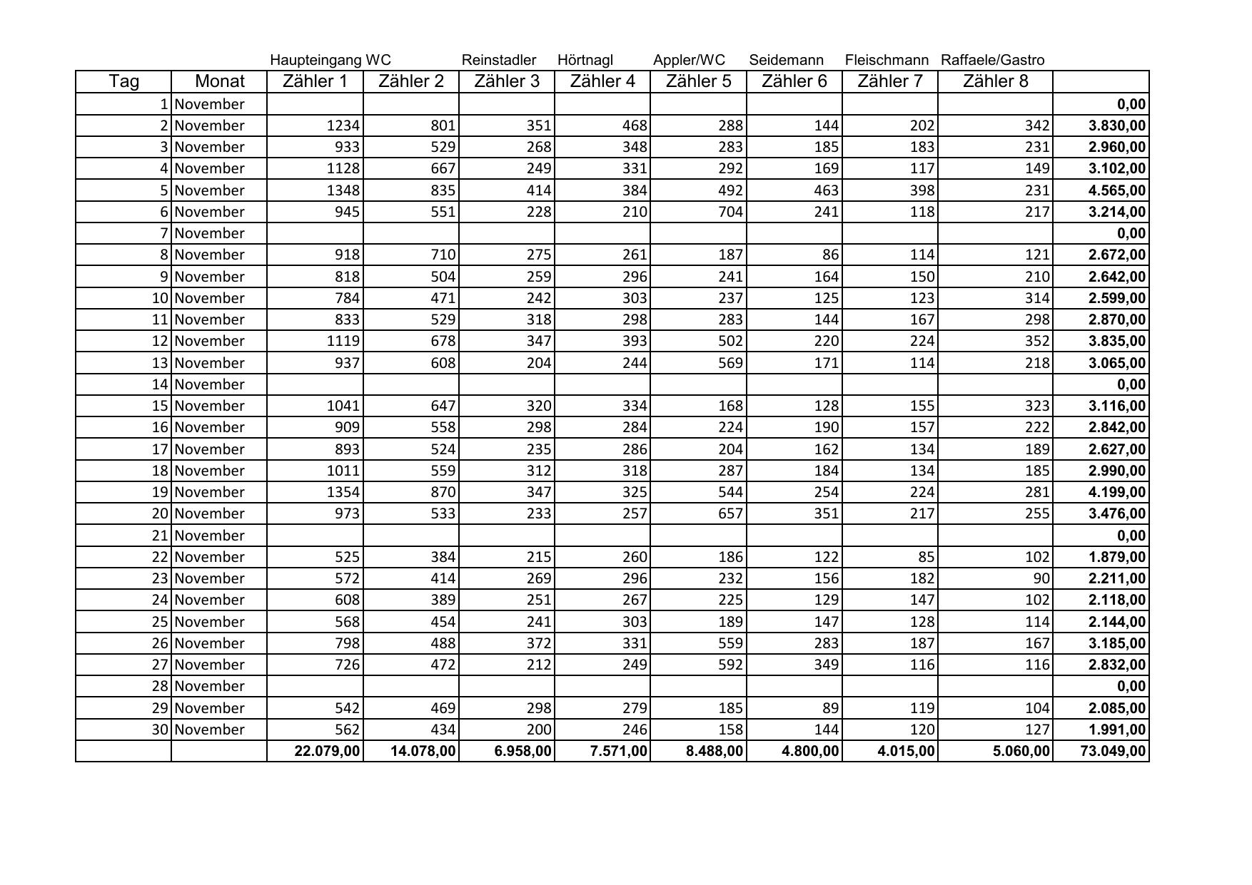
Tag

Monat

1 November
2 November
3 November
4 November
5 November
6 November
7 November
8 November
9 November
10 November
11 November
12 November
13 November
14 November
15 November
16 November
17 November
18 November
19 November
20 November
21 November
22 November
23 November
24 November
25 November
26 November
27 November
28 November
29 November
30 November

Haupteingang WC

Zähler 1

Zähler 2

Reinstadler

Zähler 3

Hörtnagl

Zähler 4

Appler/WC

Zähler 5

Seidemann

Zähler 6

Fleischmann Raffaele/Gastro

Zähler 7

Zähler 8

1234
933
1128
1348
945

801
529
667
835
551

351
268
249
414
228

468
348
331
384
210

288
283
292
492
704

144
185
169
463
241

202
183
117
398
118

342
231
149
231
217

918
818
784
833
1119
937

710
504
471
529
678
608

275
259
242
318
347
204

261
296
303
298
393
244

187
241
237
283
502
569

86
164
125
144
220
171

114
150
123
167
224
114

121
210
314
298
352
218

1041
909
893
1011
1354
973

647
558
524
559
870
533

320
298
235
312
347
233

334
284
286
318
325
257

168
224
204
287
544
657

128
190
162
184
254
351

155
157
134
134
224
217

323
222
189
185
281
255

525
572
608
568
798
726

384
414
389
454
488
472

215
269
251
241
372
212

260
296
267
303
331
249

186
232
225
189
559
592

122
156
129
147
283
349

85
182
147
128
187
116

102
90
102
114
167
116

542
562

469
434

298
200

279
246

185
158

89
144

119
120

104
127

22.079,00

14.078,00

6.958,00

7.571,00

8.488,00

4.800,00

4.015,00

5.060,00

0,00
3.830,00
2.960,00
3.102,00
4.565,00
3.214,00
0,00
2.672,00
2.642,00
2.599,00
2.870,00
3.835,00
3.065,00
0,00
3.116,00
2.842,00
2.627,00
2.990,00
4.199,00
3.476,00
0,00
1.879,00
2.211,00
2.118,00
2.144,00
3.185,00
2.832,00
0,00
2.085,00
1.991,00
73.049,00