Gemeinderatsprotokolle seit 2002

Jahr: 2022

/ Ausgabe: 2022-10-25-GR-Protokoll.pdf

- S.388

Suchen und Blättern in über 500 PDFs und 44.000 Seiten.





vorhergehende ||| nächste Seite im Dokument

Zur letzten Suche
Diese Ausgabe – 2022-10-25-GR-Protokoll.pdf
Ausgaben dieses Jahres – 2022
Alle Ausgaben

Dieses Bild anzeigen/herunterladen
Gesamter Text dieser Seite:
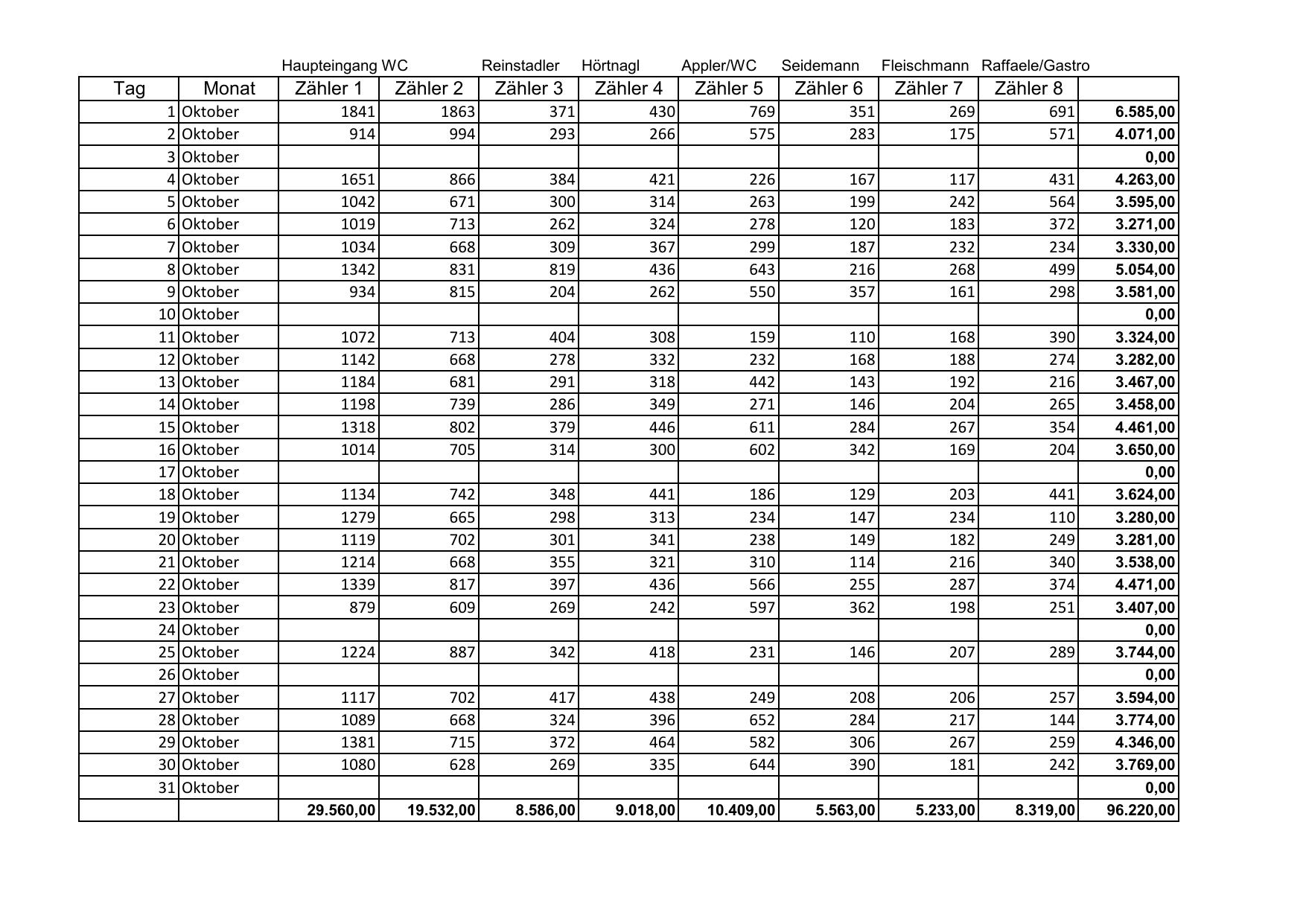
Tag

Monat

1 Oktober
2 Oktober
3 Oktober
4 Oktober
5 Oktober
6 Oktober
7 Oktober
8 Oktober
9 Oktober
10 Oktober
11 Oktober
12 Oktober
13 Oktober
14 Oktober
15 Oktober
16 Oktober
17 Oktober
18 Oktober
19 Oktober
20 Oktober
21 Oktober
22 Oktober
23 Oktober
24 Oktober
25 Oktober
26 Oktober
27 Oktober
28 Oktober
29 Oktober
30 Oktober
31 Oktober

Haupteingang WC

Zähler 1

1841
914

Zähler 2

1863
994

Reinstadler

Zähler 3

371
293

Hörtnagl

Zähler 4

430
266

Appler/WC

Zähler 5

769
575

Seidemann

Zähler 6

351
283

Fleischmann Raffaele/Gastro

Zähler 7

269
175

Zähler 8

691
571

1651
1042
1019
1034
1342
934

866
671
713
668
831
815

384
300
262
309
819
204

421
314
324
367
436
262

226
263
278
299
643
550

167
199
120
187
216
357

117
242
183
232
268
161

431
564
372
234
499
298

1072
1142
1184
1198
1318
1014

713
668
681
739
802
705

404
278
291
286
379
314

308
332
318
349
446
300

159
232
442
271
611
602

110
168
143
146
284
342

168
188
192
204
267
169

390
274
216
265
354
204

1134
1279
1119
1214
1339
879

742
665
702
668
817
609

348
298
301
355
397
269

441
313
341
321
436
242

186
234
238
310
566
597

129
147
149
114
255
362

203
234
182
216
287
198

441
110
249
340
374
251

1224

887

342

418

231

146

207

289

1117
1089
1381
1080

702
668
715
628

417
324
372
269

438
396
464
335

249
652
582
644

208
284
306
390

206
217
267
181

257
144
259
242

29.560,00

19.532,00

8.586,00

9.018,00

10.409,00

5.563,00

5.233,00

8.319,00

6.585,00
4.071,00
0,00
4.263,00
3.595,00
3.271,00
3.330,00
5.054,00
3.581,00
0,00
3.324,00
3.282,00
3.467,00
3.458,00
4.461,00
3.650,00
0,00
3.624,00
3.280,00
3.281,00
3.538,00
4.471,00
3.407,00
0,00
3.744,00
0,00
3.594,00
3.774,00
4.346,00
3.769,00
0,00
96.220,00