Gemeinderatsprotokolle seit 2002

Jahr: 2022

/ Ausgabe: 2022-10-25-GR-Protokoll.pdf

- S.386

Suchen und Blättern in über 500 PDFs und 44.000 Seiten.





vorhergehende ||| nächste Seite im Dokument

Zur letzten Suche
Diese Ausgabe – 2022-10-25-GR-Protokoll.pdf
Ausgaben dieses Jahres – 2022
Alle Ausgaben

Dieses Bild anzeigen/herunterladen
Gesamter Text dieser Seite:
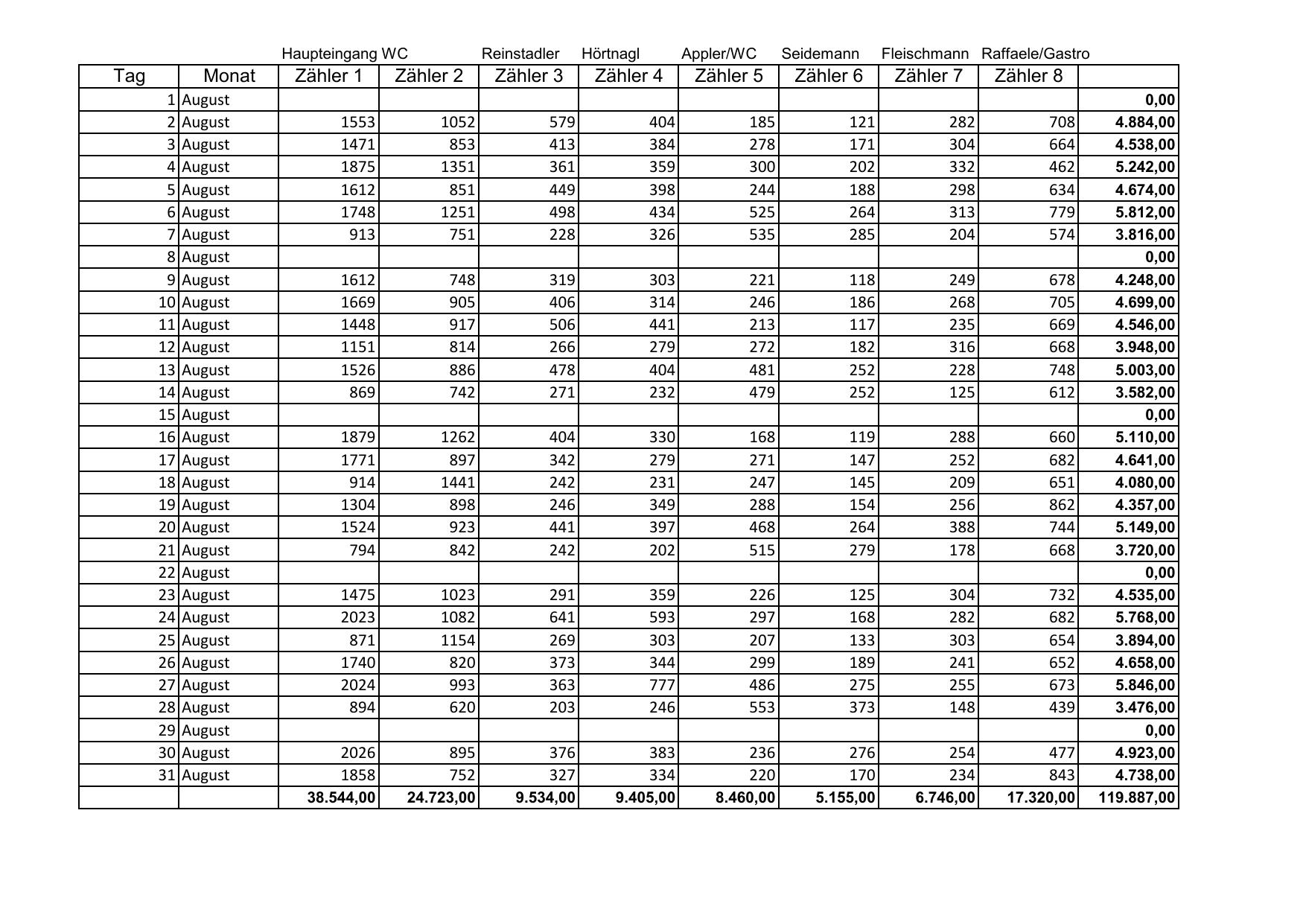
Tag

Monat

1 August
2 August
3 August
4 August
5 August
6 August
7 August
8 August
9 August
10 August
11 August
12 August
13 August
14 August
15 August
16 August
17 August
18 August
19 August
20 August
21 August
22 August
23 August
24 August
25 August
26 August
27 August
28 August
29 August
30 August
31 August

Haupteingang WC

Zähler 1

Zähler 2

Reinstadler

Zähler 3

Hörtnagl

Zähler 4

Appler/WC

Zähler 5

Seidemann

Zähler 6

Fleischmann Raffaele/Gastro

Zähler 7

Zähler 8

1553
1471
1875
1612
1748
913

1052
853
1351
851
1251
751

579
413
361
449
498
228

404
384
359
398
434
326

185
278
300
244
525
535

121
171
202
188
264
285

282
304
332
298
313
204

708
664
462
634
779
574

1612
1669
1448
1151
1526
869

748
905
917
814
886
742

319
406
506
266
478
271

303
314
441
279
404
232

221
246
213
272
481
479

118
186
117
182
252
252

249
268
235
316
228
125

678
705
669
668
748
612

1879
1771
914
1304
1524
794

1262
897
1441
898
923
842

404
342
242
246
441
242

330
279
231
349
397
202

168
271
247
288
468
515

119
147
145
154
264
279

288
252
209
256
388
178

660
682
651
862
744
668

1475
2023
871
1740
2024
894

1023
1082
1154
820
993
620

291
641
269
373
363
203

359
593
303
344
777
246

226
297
207
299
486
553

125
168
133
189
275
373

304
282
303
241
255
148

732
682
654
652
673
439

2026
1858

895
752

376
327

383
334

236
220

276
170

254
234

477
843

38.544,00

24.723,00

9.534,00

9.405,00

8.460,00

5.155,00

6.746,00

17.320,00

0,00
4.884,00
4.538,00
5.242,00
4.674,00
5.812,00
3.816,00
0,00
4.248,00
4.699,00
4.546,00
3.948,00
5.003,00
3.582,00
0,00
5.110,00
4.641,00
4.080,00
4.357,00
5.149,00
3.720,00
0,00
4.535,00
5.768,00
3.894,00
4.658,00
5.846,00
3.476,00
0,00
4.923,00
4.738,00
119.887,00