Gemeinderatsprotokolle seit 2002
Jahr: 2022
/ Ausgabe: 2022-10-25-GR-Protokoll.pdf
- S.384
Suchen und Blättern in über 500 PDFs und 44.000 Seiten.
Gesamter Text dieser Seite:
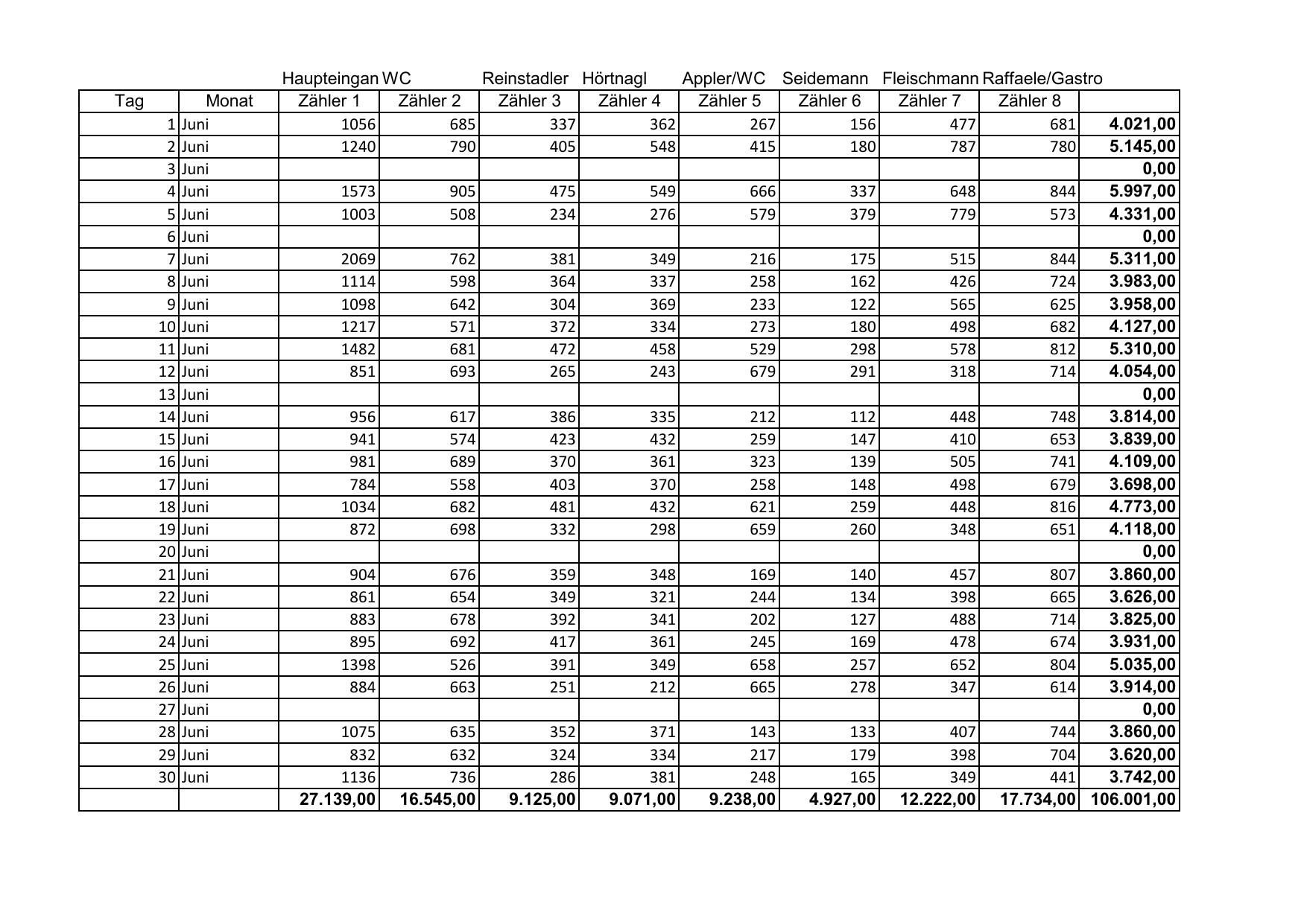
Tag
Monat
1 Juni
2 Juni
3 Juni
4 Juni
5 Juni
6 Juni
7 Juni
8 Juni
9 Juni
10 Juni
11 Juni
12 Juni
13 Juni
14 Juni
15 Juni
16 Juni
17 Juni
18 Juni
19 Juni
20 Juni
21 Juni
22 Juni
23 Juni
24 Juni
25 Juni
26 Juni
27 Juni
28 Juni
29 Juni
30 Juni
Haupteingan WC
Reinstadler Hörtnagl
Appler/WC Seidemann Fleischmann Raffaele/Gastro
Zähler 1
Zähler 2
Zähler 3
Zähler 4
Zähler 5
Zähler 6
Zähler 7
Zähler 8
1056
685
337
362
267
156
477
681
4.021,00
1240
790
405
548
415
180
787
780
5.145,00
0,00
1573
905
475
549
666
337
648
844
5.997,00
1003
508
234
276
579
379
779
573
4.331,00
0,00
2069
762
381
349
216
175
515
844
5.311,00
1114
598
364
337
258
162
426
724
3.983,00
1098
642
304
369
233
122
565
625
3.958,00
1217
571
372
334
273
180
498
682
4.127,00
1482
681
472
458
529
298
578
812
5.310,00
851
693
265
243
679
291
318
714
4.054,00
0,00
956
617
386
335
212
112
448
748
3.814,00
941
574
423
432
259
147
410
653
3.839,00
981
689
370
361
323
139
505
741
4.109,00
784
558
403
370
258
148
498
679
3.698,00
1034
682
481
432
621
259
448
816
4.773,00
872
698
332
298
659
260
348
651
4.118,00
0,00
904
676
359
348
169
140
457
807
3.860,00
861
654
349
321
244
134
398
665
3.626,00
883
678
392
341
202
127
488
714
3.825,00
895
692
417
361
245
169
478
674
3.931,00
1398
526
391
349
658
257
652
804
5.035,00
884
663
251
212
665
278
347
614
3.914,00
0,00
1075
635
352
371
143
133
407
744
3.860,00
832
632
324
334
217
179
398
704
3.620,00
1136
736
286
381
248
165
349
441
3.742,00
27.139,00 16.545,00
9.125,00
9.071,00
9.238,00
4.927,00 12.222,00 17.734,00 106.001,00