Gemeinderatsprotokolle seit 2002

Jahr: 2022

/ Ausgabe: 2022-10-25-GR-Protokoll.pdf

- S.346

Suchen und Blättern in über 500 PDFs und 44.000 Seiten.





vorhergehende ||| nächste Seite im Dokument

Zur letzten Suche
Diese Ausgabe – 2022-10-25-GR-Protokoll.pdf
Ausgaben dieses Jahres – 2022
Alle Ausgaben

Dieses Bild anzeigen/herunterladen
Gesamter Text dieser Seite:
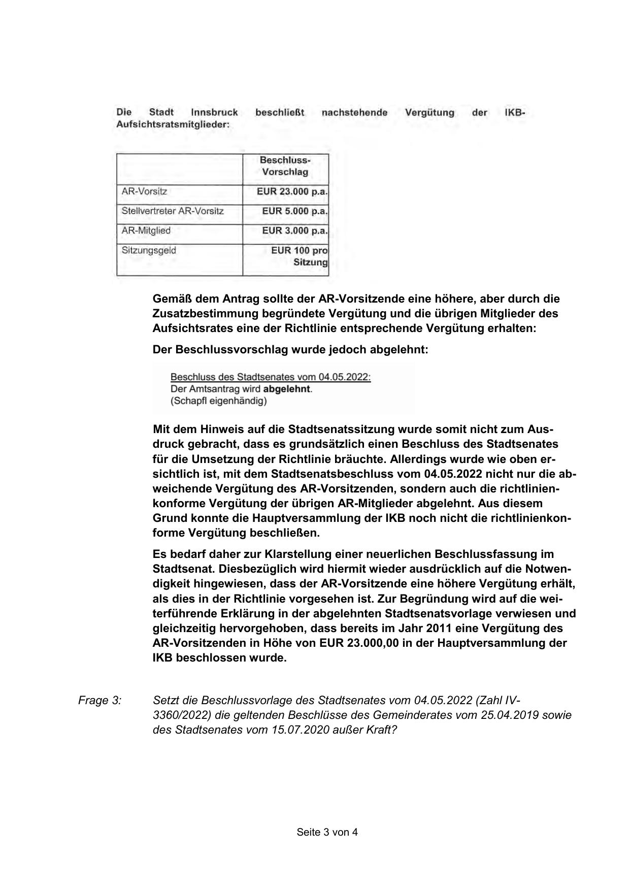
Die
Stadt
Innsbruck
Aufsichtsratsmitglieder:

beschließt

nachstehende

Vergütung

der

IKB-

Beschluss•
Vorschlag
AR-Vorsitz

EUR 23,000 p.a.

Stellvertreter AR-Vorsitz

EUR 5.000 p.a.

AR-Mitglied

EUR 3.000 p.a.

Sitzungsgeld

EUR 100 pro
Sitzung

Gemäß dem Antrag sollte der AR-Vorsitzende eine höhere, aber durch die
Zusatzbestimmung begründete Vergütung und die übrigen Mitglieder des
Aufsichtsrates eine der Richtlinie entsprechende Vergütung erhalten:
Der Beschlussvorschlag wurde jedoch abgelehnt:
Beschluss des Stadtsenates vom 04 .05.2022:
Der Amtsantrag wird abgelehnt.
(Schapfl eigenhändig)

Mit dem Hinweis auf die Stadtsenatssitzung wurde somit nicht zum Ausdruck gebracht, dass es grundsätzlich einen Beschluss des Stadtsenates
für die Umsetzung der Richtlinie bräuchte. Allerdings wurde wie oben ersichtlich ist, mit dem Stadtsenatsbeschluss vom 04.05.2022 nicht nur die abweichende Vergütung des AR-Vorsitzenden, sondern auch die richtlinienkonforme Vergütung der übrigen AR-Mitglieder abgelehnt. Aus diesem
Grund konnte die Hauptversammlung der IKB noch nicht die richtlinienkonforme Vergütung beschließen.
Es bedarf daher zur Klarstellung einer neuerlichen Beschlussfassung im
Stadtsenat. Diesbezüglich wird hiermit wieder ausdrücklich auf die Notwendigkeit hingewiesen, dass der AR-Vorsitzende eine höhere Vergütung erhält,
als dies in der Richtlinie vorgesehen ist. Zur Begründung wird auf die weiterführende Erklärung in der abgelehnten Stadtsenatsvorlage verwiesen und
gleichzeitig hervorgehoben, dass bereits im Jahr 2011 eine Vergütung des
AR-Vorsitzenden in Höhe von EUR 23.000,00 in der Hauptversammlung der
IKB beschlossen wurde.

Frage 3:

Setzt die Beschlussvorlage des Stadtsenates vom 04.05.2022 (Zahl IV3360/2022) die geltenden Beschlüsse des Gemeinderates vom 25.04.2019 sowie
des Stadtsenates vom 15.07.2020 außer Kraft?

Seite 3 von 4