Gemeinderatsprotokolle seit 2002

Jahr: 2022

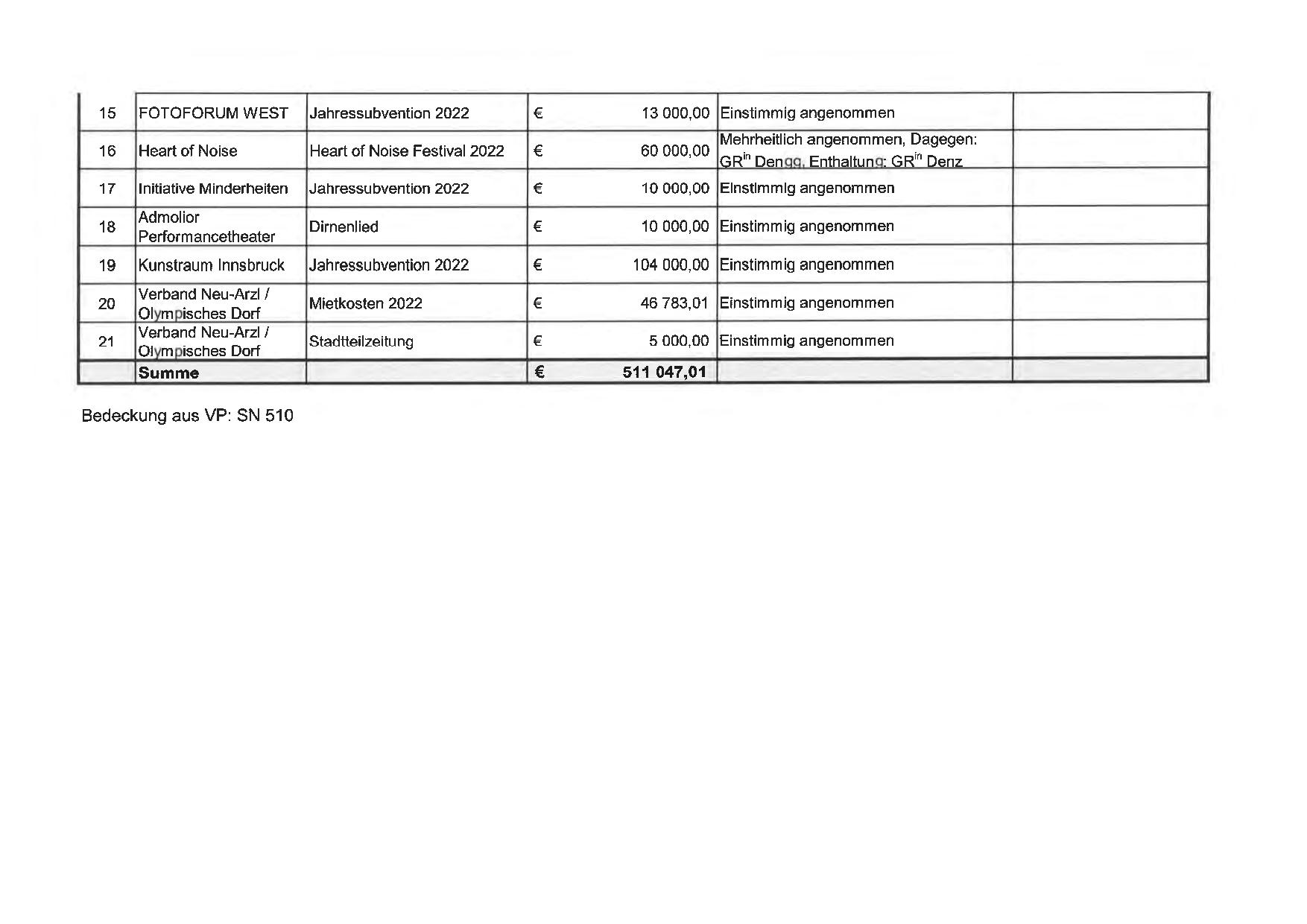
/ Ausgabe: 2022-01-26-GR-Kurzprotokoll_opt.pdf

- S.18

Suchen und Blättern in über 500 PDFs und 44.000 Seiten.





vorhergehende ||| nächste Seite im Dokument

Zur letzten Suche
Diese Ausgabe – 2022-01-26-GR-Kurzprotokoll_opt.pdf
Ausgaben dieses Jahres – 2022
Alle Ausgaben

Dieses Bild anzeigen/herunterladen
Gesamter Text dieser Seite: