Gemeinderatsprotokolle seit 2002

Jahr: 2022

/ Ausgabe: 01-2022-01-26-GR-Protokoll.pdf

- S.186

Suchen und Blättern in über 500 PDFs und 44.000 Seiten.





vorhergehende ||| nächste Seite im Dokument

Zur letzten Suche
Diese Ausgabe – 01-2022-01-26-GR-Protokoll.pdf
Ausgaben dieses Jahres – 2022
Alle Ausgaben

Dieses Bild anzeigen/herunterladen
Gesamter Text dieser Seite:
IN S"
BRUCI<
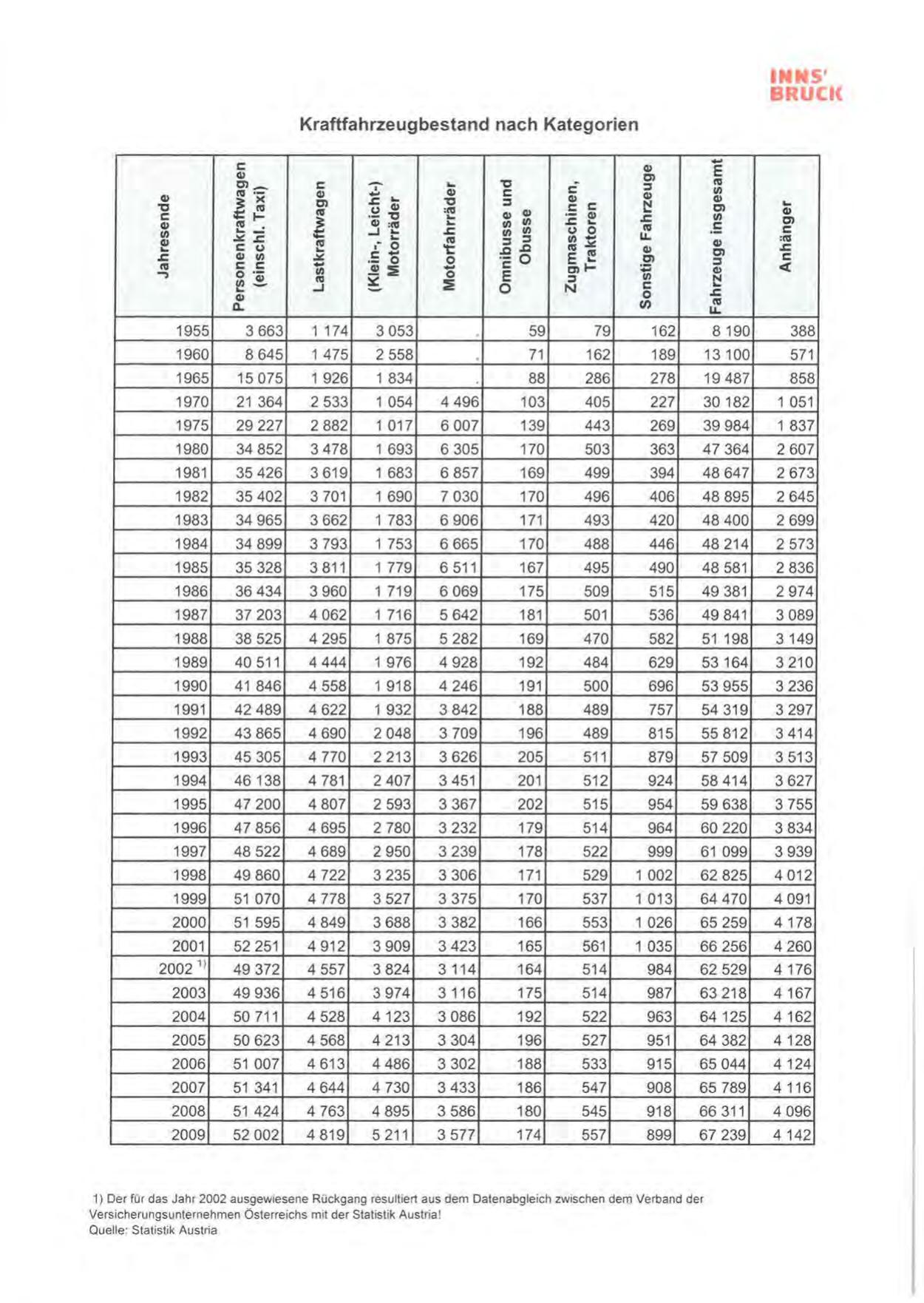
Kraftfahrzeugbestand nach Kategorien
C:
Q)

c,_

ns
3:: ·><
ns
ns 1..:
~ .c

Q)

"Cl
C:

~

...

Q)

u,

...
.c
Q)

C:
G>
C:

...,ns

C:
Q)

Cl)

ns

CJ

~ns

C:

II)

V,

0 ·V,.!.,

...

...

...

~

ns

...J

Q)

-1

.c ...

CJ Q)
·- "Cl
G> :ns

...J

......

,~ 0
C: -

·- 0
~:i!

e.

...
"Cl
:ns
......
.c

Q)

ns
"t:

0
0

~

E

Q)

Cl)

"Cl
C:

C:
Q)

u, u,
V, u,
::, ::,

.c .c
"i: 0
E
0

u,

Q)

Q)

::,

Q)

ns

::,

C:

C:

·-

Q)

.s::. ...

u,

ns

.5

IL.

c,1-

:.::
V,

E I!
::::,

Cl)

.c

0
u,
ns ~
CJ

Q)

t!

Q)
Cl)

Q)
Cl)

::s
d)

C:

:ns

.c
C:
<(

.c
ns

u,

0..

Q)
Cl)

I:::!

C:
0

N

...

IL.

1955

3 663

1 174

3 053

59

79

162

8 190

388

1960

8 645

1 475

2 558

71

162

189

13 100

571

1965

1 834

88

286

278

19 487

858

15 075

1 926

1970

21 364

2 533

1 054

4 496

103

405

227

30 182

1 051

1975

29 227

2 882

1 017

6 007

139

443

269

39 984

1 837

1980

34 852

3 478

1 693

6 305

170

503

363

47 364

2 607

1981

35 426

3 619

1 683

6 857

169

499

394

48 647

2 673

1982

35 402

3 701

1 690

7 030

170

496

406

48 895

2 645

1 783

6 906

171

493

420

48 400

2 699

1983

34 965

3 662

1984

34 899

3 793

1 753

6 665

170

488

446

48 214

2 573

1985

35 328

3 811

1 779

6 511

167

495

490

48 581

2 836

1986

36 434

3 960

1 719

6 069

175

509

515

49 381

2 974

1987

37 203

4 062

1 716

5 642

181

501

536

49 841

3 089

1988

38 525

4 295

1 875

5 282

169

470

582

51 198

3149

1989

40 511

4444

1 976

4 928

192

484

629

53 164

3 210

1990

41 846

4 558

1 918

4 246

191

500

696

53 955

3 236

1991

42 489

4 622

1 932

3 842

188

489

757

54 319

3 297

1992

43 865

4 690

2 048

3 709

196

489

815

55 812

3 414

1993

45 305

4 770

2 213

3 626

205

511

879

57 509

3 513

1994

46 138

4 781

2 407

3 451

201

512

924

58 414

3 627

1995

47 200

4 807

2 593

3 367

202

515

954

59 638

3 755

1996

47 856

4 695

2 780

3 232

179

514

964

60 220

3 834

1997

48 522

4 689

2 950

3 239

178

522

999

61 099

3 939

1998

49 860

4 722

3 235

3 306

171

529

1 002

62 825

4 012

1999

51 070

4 778

3 527

3 375

170

537

1 013

64 470

4 091

2000

51 595

4 849

3 688

3 382

166

553

1 026

65 259

4 178

2001
2002 l )

52 251

4 912

3 909

3 423

165

561

1 035

66 256

4 260

49 372

4 557

3 824

3 114

164

514

984

62 529

4 176

2003

49 936

4 516

3 974

3 116

175

514

987

63 218

4 167

2004

50 711

4 528

4 123

3 086

192

522

963

64 125

4162

2005

50 623

4 568

4 213

3 304

196

527

951

64 382

4 128

2006

51 007

4 613

4 486

3 302

188

533

915

65 044

4 124

2007

51 341

4 644

4 730

3 433

186

547

908

65 789

4 116

2008

51 424

4 763

4 895

3 586

180

545

918

66 311

4 096

2009

52 002

4 819

5 211

3 577

174

557

899

67 239

4 142

1) Der für das Jahr 2002 ausgewiesene Rückgang resultiert aus dem Datenabgleich zwischen dem Verband der
Vers icherungsunternehmen Österreichs mit der Statistik Austria!
Quelle: Statistik Austria