Gemeinderatsprotokolle seit 2002

Jahr: 2020

/ Ausgabe: 2020-07-16-GR-Kurzprotokoll.pd.pdf

- S.28

Suchen und Blättern in über 500 PDFs und 44.000 Seiten.





vorhergehende ||| nächste Seite im Dokument

Zur letzten Suche
Diese Ausgabe – 2020-07-16-GR-Kurzprotokoll.pd.pdf
Ausgaben dieses Jahres – 2020
Alle Ausgaben

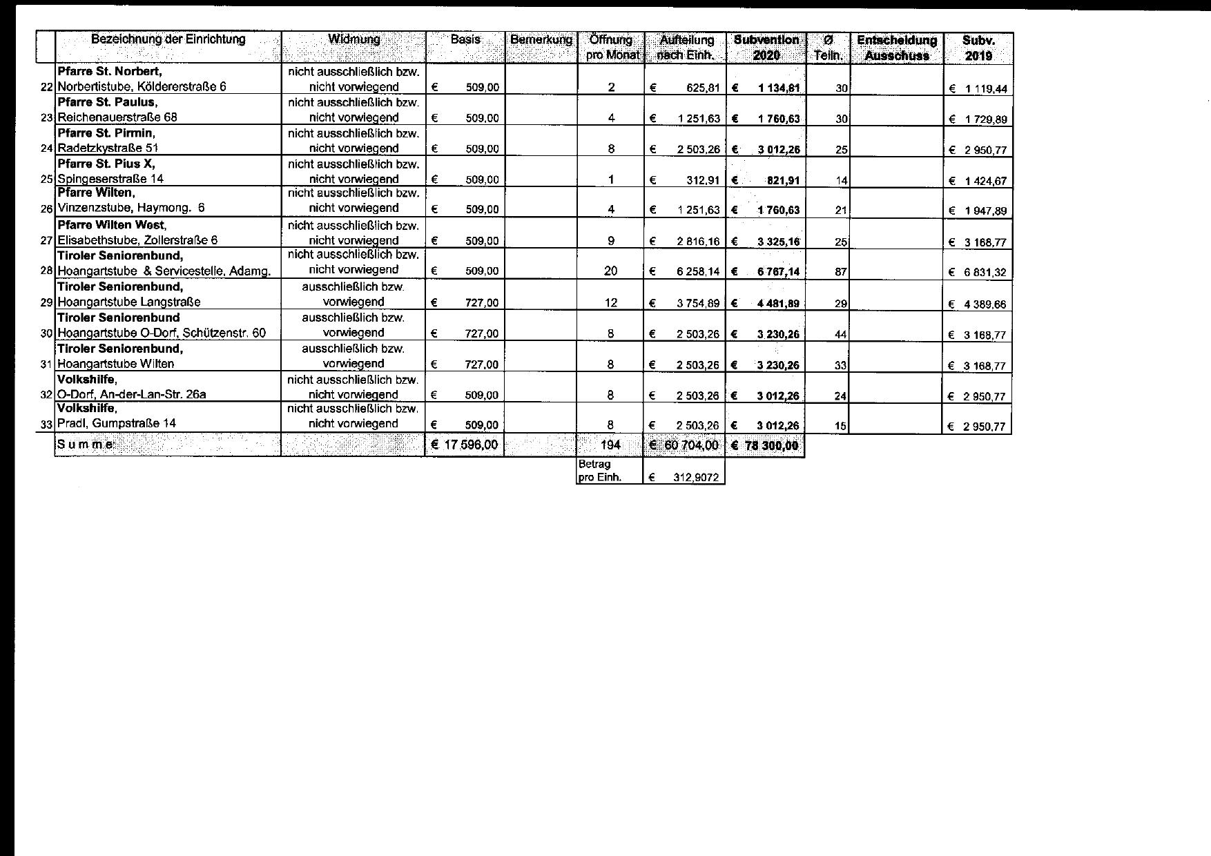
Dieses Bild anzeigen/herunterladen
Gesamter Text dieser Seite: