Gemeinderatsprotokolle seit 2002

Jahr: 2019

/ Ausgabe: 02-Protokoll-28-02-2019_gsw.pdf

- S.170

Suchen und Blättern in über 500 PDFs und 44.000 Seiten.





vorhergehende ||| nächste Seite im Dokument

Zur letzten Suche
Diese Ausgabe – 02-Protokoll-28-02-2019_gsw.pdf
Ausgaben dieses Jahres – 2019
Alle Ausgaben

Dieses Bild anzeigen/herunterladen
Gesamter Text dieser Seite:
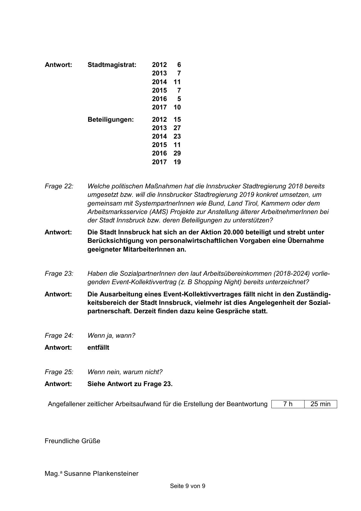
Antwort:

Stadtmagistrat:

2012
6
2013
7
2014 11
2015
7
2016
5
2017 10

Beteiligungen:

2012
2013
2014
2015
2016
2017

15
27
23
11
29
19

Frage 22:

Welche politischen Maßnahmen hat die lnnsbrucker Stadtregierung 2018 bereits
umgesetzt bzw. will die lnnsbrucker Stadtregierung 2019 konkret umsetzen, um
gemeinsam mit SystempartnerInnen wie Bund, Land Tirol, Kammern oder dem
Arbeitsmarksservice (AMS) Projekte zur Anstellung älterer ArbeitnehmerInnen bei
der Stadt Innsbruck bzw. deren Beteiligungen zu unterstützen?

Antwort:

Die Stadt Innsbruck hat sich an der Aktion 20.000 beteiligt und strebt unter
Berücksichtigung von personalwirtschaftlichen Vorgaben eine Übernahme
geeigneter MitarbeiterInnen an.

Frage 23:

Haben die SozialpartnerInnen den laut Arbeitsübereinkommen (2018-2024) vorliegenden Event-Kollektivvertrag (z. B Shopping Night) bereits unterzeichnet?

Antwort:

Die Ausarbeitung eines Event-Kollektivvertrages fällt nicht in den Zuständigkeitsbereich der Stadt Innsbruck, vielmehr ist dies Angelegenheit der Sozialpartnerschaft. Derzeit finden dazu keine Gespräche statt.

Frage 24:

Wenn ja, wann?

Antwort:

entfällt

Frage 25:

Wenn nein, warum nicht?

Antwort:

Siehe Antwort zu Frage 23.

Angefallener zeitlicher Arbeitsaufwand für die Erstellung der Beantwortung

Freundliche Grüße

Mag.a Susanne Plankensteiner
Seite 9 von 9

7h

25 min