Gemeinderatsprotokolle seit 2002

Jahr: 2019

/ Ausgabe: 11-Protokoll-Budget_Teil_2.pdf

- S.119

Suchen und Blättern in über 500 PDFs und 44.000 Seiten.





vorhergehende ||| nächste Seite im Dokument

Zur letzten Suche
Diese Ausgabe – 11-Protokoll-Budget_Teil_2.pdf
Ausgaben dieses Jahres – 2019
Alle Ausgaben

Dieses Bild anzeigen/herunterladen
Gesamter Text dieser Seite:
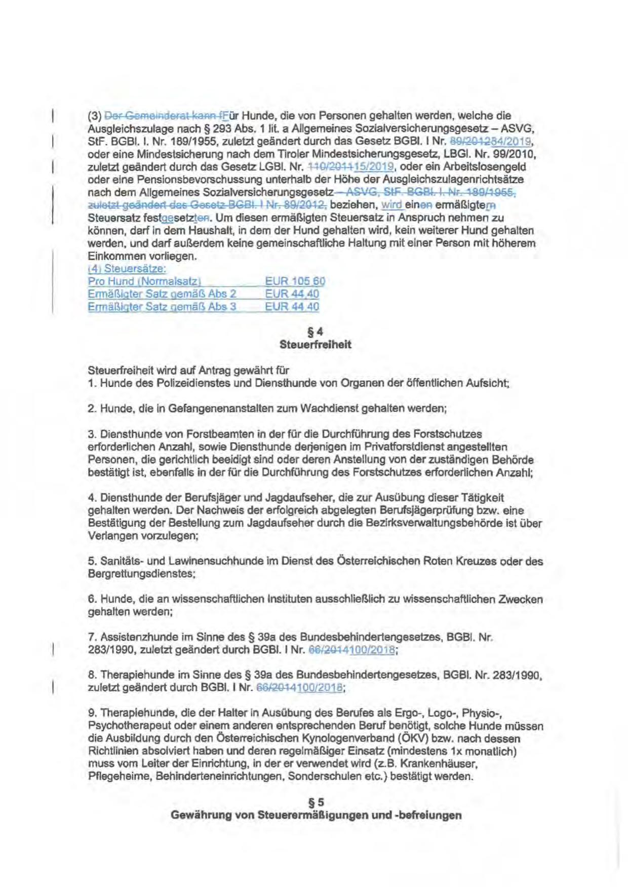
(3) Der Geffte1ndarat kaAA ff ür Hunde, die von Personen gehalten werden, welche die
Ausgleichszulage nach § 293 Abs. 1 lit. a Allgemeines Sozialversicherungsgesetz - ASVG.
StF. BGB!. 1. Nr. 189/1955, zuletzt geändert durch das Gesetz BGBI. 1Nr. 89!.201284/2019,
oder eine Mindestsicherung nach dem Tiroler Mindestsicherungsgesetz, LBGI. Nr. 99/2010,
zuletzt geändert durch das Gesetz LGBI. Nr. -140/~ 512019, oder ein Arbeitslosengeld
oder eine Pensionsbevorschussung unterhalb der Höhe der Ausglelchszulagenrichtsätze
nach dem Allgemeines Sozialversicherungsgesetz ASVG, StF BGBI. 1. Nr. 189/196-5;
.ruletzt geäRdert das Gesetz 0GQI. I Nr. 8Q.l2012. beziehen, wird eineR ermäßigte~
Steuersatz festggsetz!eR. Um diesen ermäßigten Steuersatz in Anspruch nehmen zu
können, darf in dem Haushalt, in dem der Hund gehalten wird, kein weiterer Hund gehalten
werden. und darf außerdem keine gemeinschaftliche Haltung mit einer Person mit höherem
Einkommen vorliegen.
141 Steuersätze:
Pro Hund (Normalsalz
EUR 105 6

§4
Steuerfreiheit

Steuerfreiheit wird auf Antrag gewährt für
1. Hunde des Polizeidienstes und Diensthunde von Organen der öffentlichen Aufsicht;
2. Hunde, die in Gefangenenanstalten zum Wachdienst gehalten werden;
3. Diensthunde von Forstbeamten in der für die Durchführung des Forstschutzes
erforderlichen Anzahl, sowie Diensthunde derjenigen im Privatforstdienst angestellten
Personen, die gerichtlich beeidigt sind oder deren Anstellung von der zuständigen Behörde
bestätigt ist. ebenfalls in der für die Durchführung des Forstschutzes erforderlichen Anzahl;
4. Diensthunde der Berufsjäger und Jagdaufseher, die zur Ausübung dieser Tätigkeit
gehalten werden. Der Nachweis der erfolgreich abgelegten Berufsjägerprüfung bzw. eine
Bestätigung der Bestellung zum Jagdaufseher durch die Bezirksverwaltungsbehörde ist über
Verlangen vorzulegen;

5. Sanitäts- und Lawinensuchhunde im Dienst des Österreichischen Roten Kreuzes oder des
Bergrettungsdienstes;
6. Hunde, die an wissenschaftlichen Instituten ausschließlich zu wissenschaftlichen Zwecken
gehalten werden;
7. Assistenzhunde im Sinne des§ 39a des Bundesbehindertengesetzes, BGBI. Nr.
283/1990, zuletzt geändert durch BGBI. 1Nr. OOl2G-14100/2018;
8. Therapiehunde im Sinne des § 39a des Bundesbehindertengesetzes, BGBI. Nr. 283/1990,
zuletzt geändert durch BGBI. 1Nr. 66t2014100/2Q18;
9. Therapiehunde, die der Halter In Ausübung des Berufes als Ergo-, Logo-, Physio-,
Psychotherapeut oder einem anderen entsprechenden Beruf benötigt, solche Hunde müssen
die Ausbildung durch den Österreichischen Kynologenverband (ÖKV) bzw. nach dessen
Richtlinien absolviert haben und deren regelmäßiger Einsatz (mindestens 1x. monatlich)
muss vom Leiter der Einrichtung, in der er verwendet wird (z.B. Krankenhäuser.
Pflegeheime, Behinderteneinrichtungen, Sonderschulen etc.) bestätigt werden.
§5
Gewährung von Steuerermäßigungen und -befrelungen