Gemeinderatsprotokolle seit 2002

Jahr: 2020

/ Ausgabe: 06-Protokoll-16-07-2020_gswklein.pdf

- S.148

Suchen und Blättern in über 500 PDFs und 44.000 Seiten.





vorhergehende ||| nächste Seite im Dokument

Zur letzten Suche
Diese Ausgabe – 06-Protokoll-16-07-2020_gswklein.pdf
Ausgaben dieses Jahres – 2020
Alle Ausgaben

Dieses Bild anzeigen/herunterladen
Gesamter Text dieser Seite:
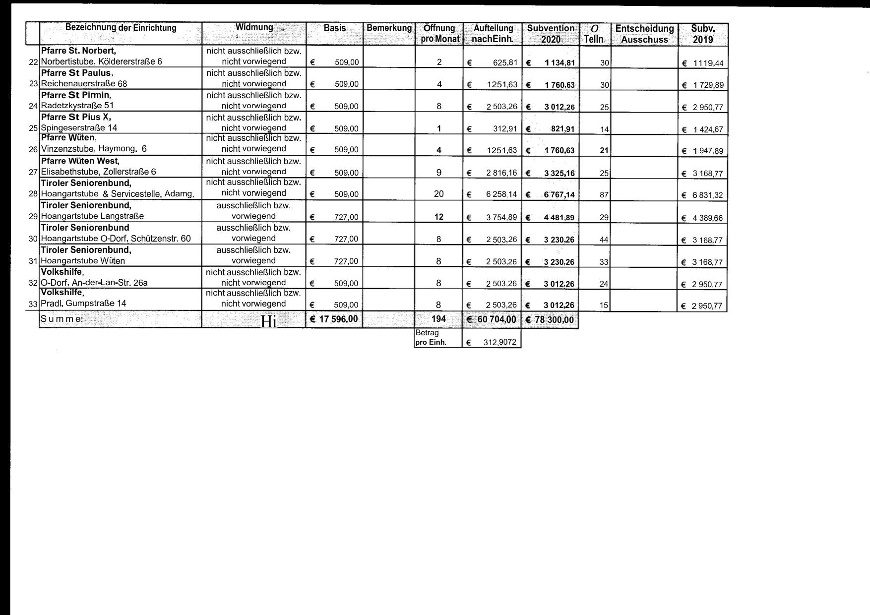
Bezeichnung der Einrichtung

Widmung

Basis

vt;

; i

Pfarre St. Norbert,

22 Norbertistube, Köldererstraß e 6

Pfarre St Paulus ,
23 Reichenauerstraße 68
Pfarre St Pirmin,
24 Radetzkystraße 51
Pfarre St Pius X,
25 Spingeserstraße 14
Pfarre Wüten,
26 Vinzenzstube, Haymong. 6
Pfarre Wüten West,
27 Elisabethstube, Zollerstraße 6
Tiroler Seniorenbund,
28 Hoangartstube & Servicestelle, Adamg.
Tiroler Seniorenbund,
29 Hoangartstube Langstraße
Tiroler Seniorenbund
30 Hoangartstube O-Dorf, Schützenstr, 60
Tiroler Seniorenbund,
31 Hoangartstube W üten
Volkshilfe ,
32 O-Dorf, An-der-Lan-Str. 26a
Volkshilfe,
33 Pradl, Gumpstraße 14

Summe

nicht ausschließlich bzw.
nicht vorwiegend
nicht ausschließlich bzw.

nicht vorwiegend
nicht ausschließlich bzw.
nicht vorwiegend

.

nicht ausschließlich bzw
nicht vorwiegend
nicht ausschließlich bzw.
nicht vorwiegend
nicht ausschließlich bzw.
nicht vorwiegend
nicht ausschließlich bzw.
nicht vorwiegend
ausschließlich bzw.
vorwiegend

ausschließlich bzw.
vorwiegend
ausschließlich bzw.
vorwiegend
nicht ausschließlich bzw.
nicht vorwiegend
nicht ausschließlich bzw.
nicht vorwiegend

Hi

Bemerkung

Öffnung
pro Monat

Aufteilung
nachEinh.

Subvention
Entscheidung
0
Telln» : Ausschuss
2020
:

Subv.
2019

509,00

2

625,81

1 134 ,81

30

1119,44

509,00

4

1251,63

1 760,63

30

1 729,89

509,00

8

2 503 ,26

3 012,26

25

2 950, 77

509,00

1

312,91

821,91

14

1 424 , 67

509,00

4

1251,63

1 760,63

21

1 947,89

509, 00

9

2 816,16

3 325,16

25

3 168,77

509, 00

20

6 258,14

6 767,14

87

6 831, 32

727, 00

12

3 754 ,89

4 481,89

29

4 389,66

727,00

8

2 503,26

3 230,26

44

3 168,77

727,00

8

2 503,26

3 230,26

33

3 168,77

509,00

8

2 503 ,26

3 012,26

24

2 950,77

509,00

8

2 503,26

3 012,26

15

2 950,77

17 596,00

194

60 704,00

78 300,00

Betrag

pro Einh.

312,9072