Gemeinderatsprotokolle seit 2002

Jahr: 2023

/ Ausgabe: 2023-03-23-GR-Protokoll.pdf

- S.270

Suchen und Blättern in über 500 PDFs und 44.000 Seiten.





vorhergehende ||| nächste Seite im Dokument

Zur letzten Suche
Diese Ausgabe – 2023-03-23-GR-Protokoll.pdf
Ausgaben dieses Jahres – 2023
Alle Ausgaben

Dieses Bild anzeigen/herunterladen
Gesamter Text dieser Seite:
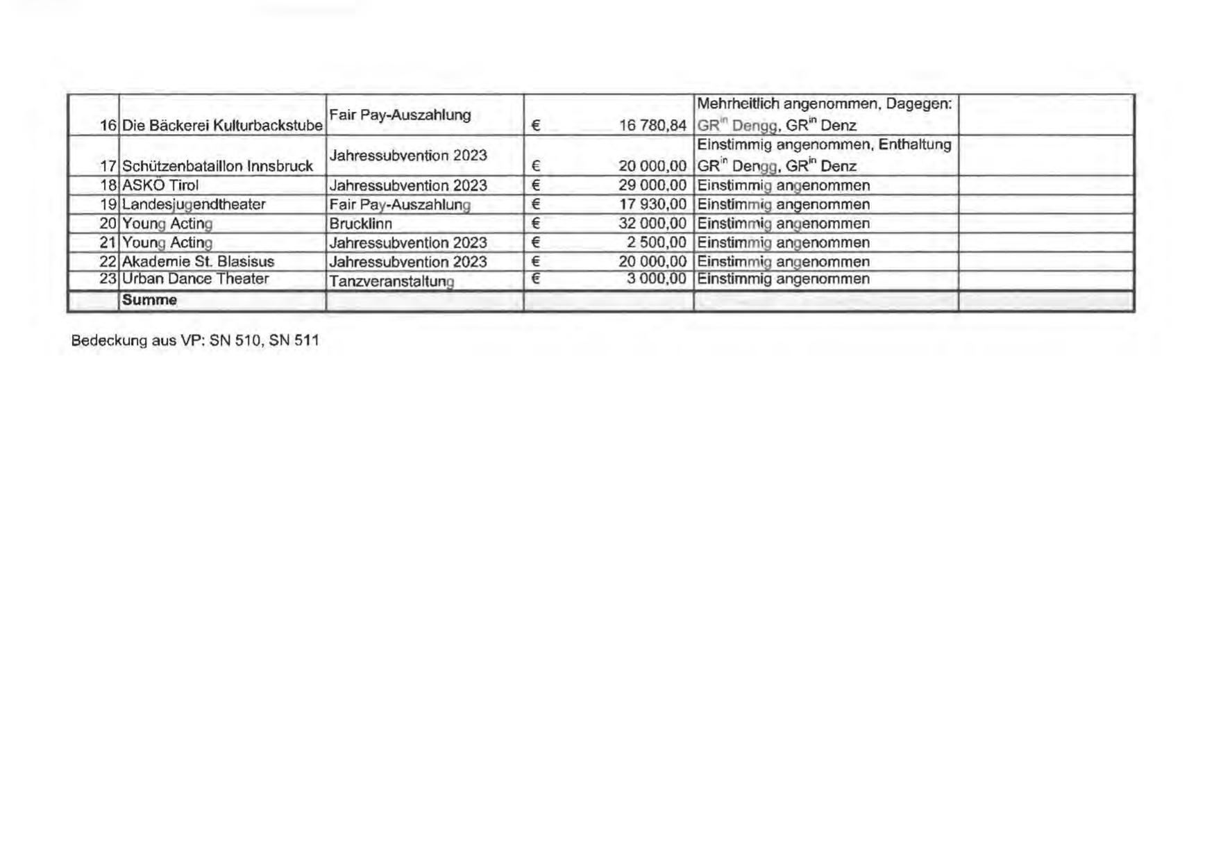
16 Die Bäckerei Kulturbackstube

17 Schützenbataillon Innsbruck
18 ASKO Tirol
19 Landesjugendtheater
20 Young Acting
21 Young Acting
22 Akademie St. Blasisus
23 Urban Dance Theater
Summe
Bedeckung aus VP: SN 510, SN 511

Fair Pay-Auszahlung
Jahressubvention 2023
Jahressubvention 2023
Fair Pay-Auszahluna
Brucklinn
Jahressubvention 2023
Jahressubvention 2023
Tanzveranstaltung



16 780,84



20 000,00
29 000,00
17 930,00
32 000,00
2 500,00
20 000,00
3 000,00










Mehrheitlich angenommen, Dagegen:
GR 1" Denoa , GRin Denz
Einstimmig angenommen, Enthaltung
GRin Denoa , GRin Denz
Einstimmig angenommen
Einstim mlg angenommen
Einstim mig angenommen
Einstimmig angenommen
Einstim miq angenommen
Einstimmig angenommen