Gemeinderatsprotokolle seit 2002

Jahr: 2023

/ Ausgabe: 2023-01-25-GR-Kurzprotokoll.pdf

- S.42

Suchen und Blättern in über 500 PDFs und 44.000 Seiten.





vorhergehende ||| nächste Seite im Dokument

Zur letzten Suche
Diese Ausgabe – 2023-01-25-GR-Kurzprotokoll.pdf
Ausgaben dieses Jahres – 2023
Alle Ausgaben

Dieses Bild anzeigen/herunterladen
Gesamter Text dieser Seite:
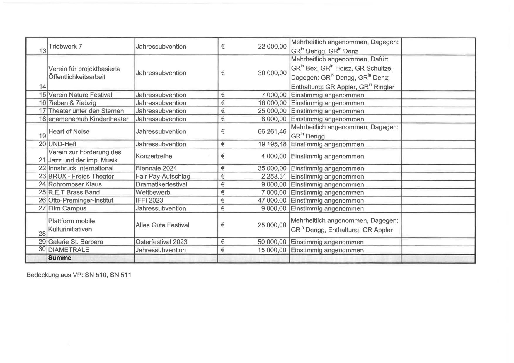
13

Mehrheitlich angenommen, Dagegen:
GRin Denaa, GRin Denz
Mehrheitlich angenommen, Dafür:
GRin Bex, GRin Heisz, GR Schultze,

Triebwerk 7

Jahressubvention



22 000,00

Verein für projektbasierte
Öffentlichkeitsarbeit

Jahressubvention



30 000,00

Jahressubvention
Jahressubvention
Jahressubvention
Jahressubvention






Jahressubvention



Jahressubvention



Enthaltung: GR Aooler, GRin Ringler
Einstimmig angenommen
Einstimmig angenommen
Einstimmig anQenommen
Einstimmig anQenommen
Mehrheitlich angenommen, Dagegen:
66 261,46
GRin DenQQ
19 195,48 Einstimmig anQenommen

Konzertreihe



4 000,00 Einstimmig angenommen

Biennale 2024
Fair Pay-Aufschlag
Dramatikerfestival
Wettbewerb
IFFI 2023
Jahressubvention








35 000,00
2 253,31
9 000,00
7 000,00
47 000,00
9 000,00

EinstimmiQ anQe,nommen
Einstimmig angenommen
EinstimmiQ angenommen
Einstimmig angenommen
Einstimmig angenommen
Einstimmig angenommen

Alles Gute Festival



25 000,00

Mehrheitlich angenommen, Dagegen:
GRin Dengg, Enthaltung: GR Appler

Osterfestival 2023
Jahressubvention




50 000,00 Einstimmig angenommen
15 000,00 Einstimmig angenommen

14
15 Verein Nature Festival
16 7ieben & 7iebzig
17 Theater unter den Sternen
18 enemenemuh Kindertheater
Heart of Noise
19
20 UND-Heft
Verein zur Förderung des
21 Jazz und der imp. Musik
22 Innsbruck International
23 BRUX- Freies Theater
24 Rohromoser Klaus
25 R.E.T Brass Band
26 Otto-Preminger-lnstitut
27 Film Campus
Plattform mobile
Kulturinitiativen

28
29 Galerie St. Barbara
30 DIAMETRALE
Summe
Bedeckung aus VP: SN 510, SN 511

Dagegen: GRin Dengg, GRin Denz;

7 000,00
16 000,00
25 000,00
8 000,00