Gemeinderatsprotokolle seit 2002

Jahr: 2019

/ Ausgabe: 05-Protokoll-29-05-2019_gsw.pdf

- S.95

Suchen und Blättern in über 500 PDFs und 44.000 Seiten.





vorhergehende ||| nächste Seite im Dokument

Zur letzten Suche
Diese Ausgabe – 05-Protokoll-29-05-2019_gsw.pdf
Ausgaben dieses Jahres – 2019
Alle Ausgaben

Dieses Bild anzeigen/herunterladen
Gesamter Text dieser Seite:
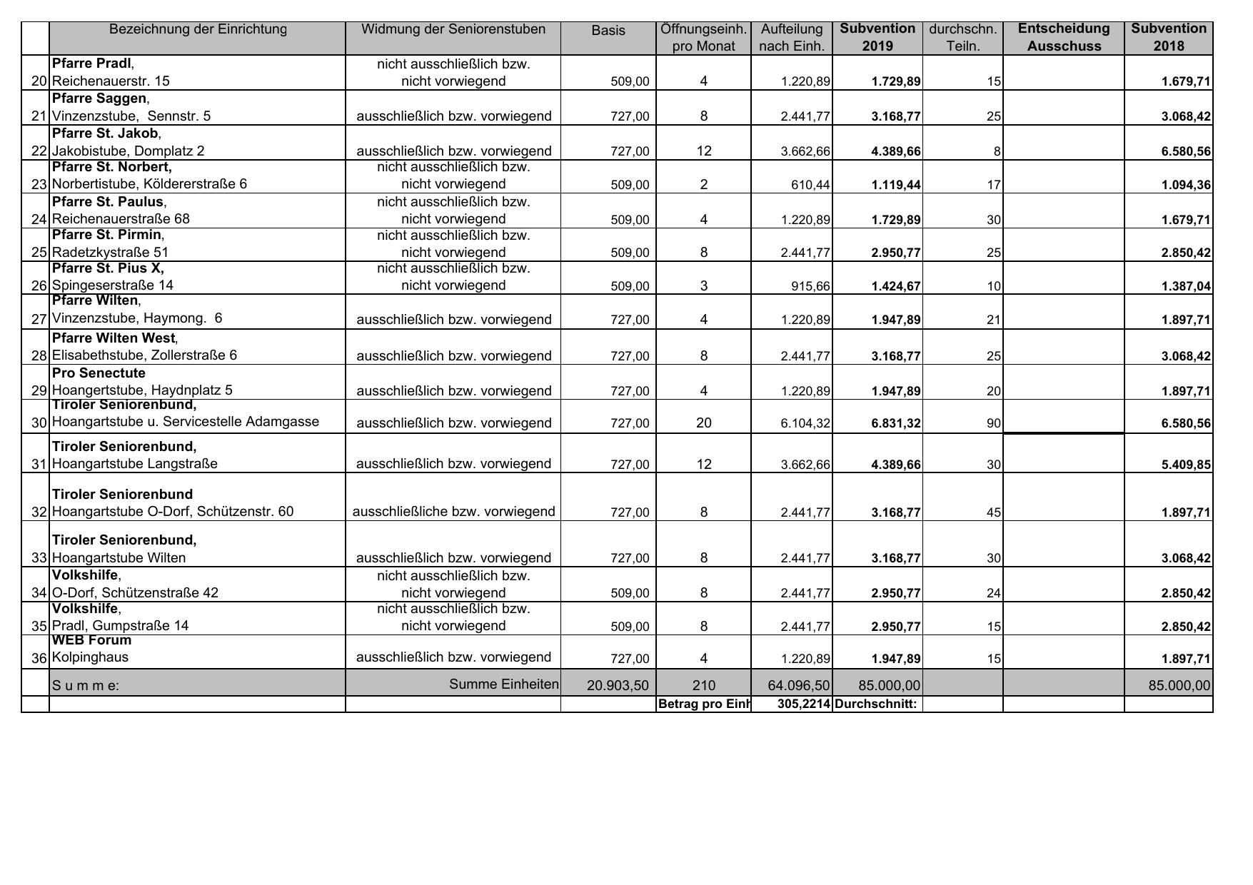
Bezeichnung der Einrichtung
Pfarre Pradl,
20 Reichenauerstr. 15
Pfarre Saggen,
21 Vinzenzstube, Sennstr. 5
Pfarre St. Jakob,
22 Jakobistube, Domplatz 2
Pfarre St. Norbert,
23 Norbertistube, Köldererstraße 6
Pfarre St. Paulus,
24 Reichenauerstraße 68
Pfarre St. Pirmin,
25 Radetzkystraße 51
Pfarre St. Pius X,
26 Spingeserstraße 14
Pfarre Wilten,
27 Vinzenzstube, Haymong. 6
Pfarre Wilten West,
28 Elisabethstube, Zollerstraße 6
Pro Senectute
29 Hoangertstube, Haydnplatz 5
Tiroler Seniorenbund,
30 Hoangartstube u. Servicestelle Adamgasse

Widmung der Seniorenstuben

Basis

Öffnungseinh. Aufteilung
pro Monat
nach Einh.

Subvention durchschn.
Teiln.
2019

Entscheidung
Ausschuss

Subvention
2018

nicht ausschließlich bzw.
nicht vorwiegend

509,00

4

1.220,89

1.729,89

15

1.679,71

ausschließlich bzw. vorwiegend

727,00

8

2.441,77

3.168,77

25

3.068,42

ausschließlich bzw. vorwiegend
nicht ausschließlich bzw.
nicht vorwiegend
nicht ausschließlich bzw.
nicht vorwiegend
nicht ausschließlich bzw.
nicht vorwiegend
nicht ausschließlich bzw.
nicht vorwiegend

727,00

12

3.662,66

4.389,66

8

6.580,56

509,00

2

610,44

1.119,44

17

1.094,36

509,00

4

1.220,89

1.729,89

30

1.679,71

509,00

8

2.441,77

2.950,77

25

2.850,42

509,00

3

915,66

1.424,67

10

1.387,04

ausschließlich bzw. vorwiegend

727,00

4

1.220,89

1.947,89

21

1.897,71

ausschließlich bzw. vorwiegend

727,00

8

2.441,77

3.168,77

25

3.068,42

ausschließlich bzw. vorwiegend

727,00

4

1.220,89

1.947,89

20

1.897,71

ausschließlich bzw. vorwiegend

727,00

20

6.104,32

6.831,32

90

6.580,56

Tiroler Seniorenbund,
31 Hoangartstube Langstraße

ausschließlich bzw. vorwiegend

727,00

12

3.662,66

4.389,66

30

5.409,85

Tiroler Seniorenbund
32 Hoangartstube O-Dorf, Schützenstr. 60

ausschließliche bzw. vorwiegend

727,00

8

2.441,77

3.168,77

45

1.897,71

ausschließlich bzw. vorwiegend
nicht ausschließlich bzw.
nicht vorwiegend
nicht ausschließlich bzw.
nicht vorwiegend

727,00

8

2.441,77

3.168,77

30

3.068,42

509,00

8

2.441,77

2.950,77

24

2.850,42

509,00

8

2.441,77

2.950,77

15

2.850,42

ausschließlich bzw. vorwiegend

727,00

4

1.220,89

1.947,89

15

1.897,71

Summe Einheiten

20.903,50

210

64.096,50

85.000,00

Tiroler Seniorenbund,
33 Hoangartstube Wilten
Volkshilfe,
34 O-Dorf, Schützenstraße 42
Volkshilfe,
35 Pradl, Gumpstraße 14
WEB Forum
36 Kolpinghaus
S u m m e:

Betrag pro Einh.

305,2214 Durchschnitt:

85.000,00