Gemeinderatsprotokolle seit 2002

Jahr: 2018

/ Ausgabe: 03-Protokoll_22.03.2018.pdf

- S.129

Suchen und Blättern in über 500 PDFs und 44.000 Seiten.





vorhergehende ||| nächste Seite im Dokument

Zur letzten Suche
Diese Ausgabe – 03-Protokoll_22.03.2018.pdf
Ausgaben dieses Jahres – 2018
Alle Ausgaben

Dieses Bild anzeigen/herunterladen
Gesamter Text dieser Seite:
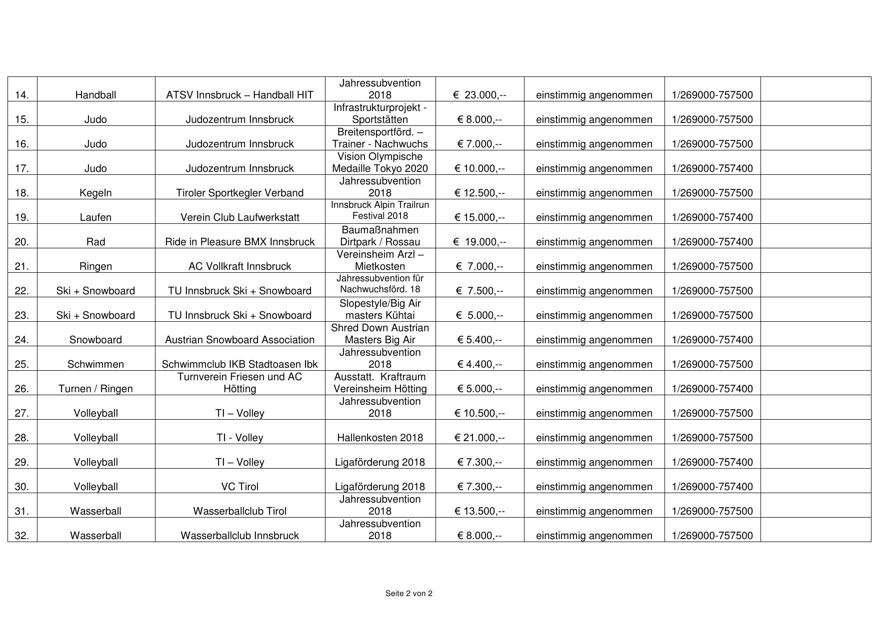
14.

Handball

ATSV Innsbruck – Handball HIT

15.

Judo

Judozentrum Innsbruck

16.

Judo

Judozentrum Innsbruck

17.

Judo

Judozentrum Innsbruck

18.

Kegeln

Tiroler Sportkegler Verband

Jahressubvention
2018
Infrastrukturprojekt Sportstätten
Breitensportförd. –
Trainer - Nachwuchs
Vision Olympische
Medaille Tokyo 2020
Jahressubvention
2018

Verein Club Laufwerkstatt

Innsbruck Alpin Trailrun
Festival 2018

19.

Laufen

20.

Rad

Ride in Pleasure BMX Innsbruck

21.

Ringen

AC Vollkraft Innsbruck

Baumaßnahmen
Dirtpark / Rossau
Vereinsheim Arzl –
Mietkosten

TU Innsbruck Ski + Snowboard

Jahressubvention für
Nachwuchsförd. 18

22.

Ski + Snowboard

€ 23.000,--

einstimmig angenommen

1/269000-757500

€ 8.000,--

einstimmig angenommen

1/269000-757500

€ 7.000,--

einstimmig angenommen

1/269000-757500

€ 10.000,--

einstimmig angenommen

1/269000-757400

€ 12.500,--

einstimmig angenommen

1/269000-757500

€ 15.000,--

einstimmig angenommen

1/269000-757400

€ 19.000,--

einstimmig angenommen

1/269000-757400

€ 7.000,--

einstimmig angenommen

1/269000-757500

€ 7.500,--

einstimmig angenommen

1/269000-757500

€ 5.000,--

einstimmig angenommen

1/269000-757500

€ 5.400,--

einstimmig angenommen

1/269000-757400

€ 4.400,--

einstimmig angenommen

1/269000-757500

23.

Ski + Snowboard

TU Innsbruck Ski + Snowboard

24.

Snowboard

Austrian Snowboard Association

25.

Schwimmen

26.

Turnen / Ringen

Schwimmclub IKB Stadtoasen Ibk
Turnverein Friesen und AC
Hötting

27.

Volleyball

TI – Volley

Slopestyle/Big Air
masters Kühtai
Shred Down Austrian
Masters Big Air
Jahressubvention
2018
Ausstatt. Kraftraum
Vereinsheim Hötting
Jahressubvention
2018

28.

Volleyball

TI - Volley

Hallenkosten 2018

€ 21.000,--

einstimmig angenommen

1/269000-757500

29.

Volleyball

TI – Volley

Ligaförderung 2018

€ 7.300,--

einstimmig angenommen

1/269000-757400

30.

Volleyball

VC Tirol

€ 7.300,--

einstimmig angenommen

1/269000-757400

31.

Wasserball

Wasserballclub Tirol

€ 13.500,--

einstimmig angenommen

1/269000-757500

32.

Wasserball

Wasserballclub Innsbruck

Ligaförderung 2018
Jahressubvention
2018
Jahressubvention
2018

€ 8.000,--

einstimmig angenommen

1/269000-757500

Seite 2 von 2

€ 5.000,--

einstimmig angenommen

1/269000-757400

€ 10.500,--

einstimmig angenommen

1/269000-757500