Gemeinderatsprotokolle seit 2002

Jahr: 2017

/ Ausgabe: 03-Kurzprotokoll_23_03_2017.pdf

- S.30

Suchen und Blättern in über 500 PDFs und 44.000 Seiten.





vorhergehende ||| nächste Seite im Dokument

Zur letzten Suche
Diese Ausgabe – 03-Kurzprotokoll_23_03_2017.pdf
Ausgaben dieses Jahres – 2017
Alle Ausgaben

Dieses Bild anzeigen/herunterladen
Gesamter Text dieser Seite:
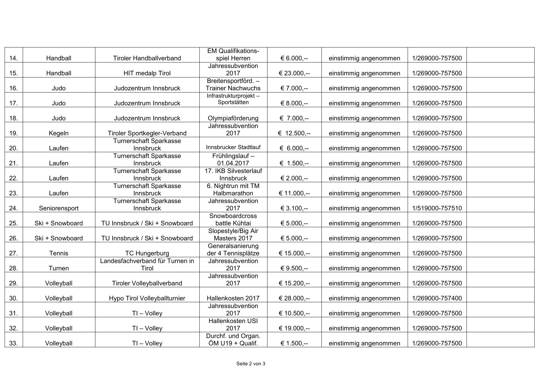
14.

Handball

Tiroler Handballverband

15.

Handball

HIT medalp Tirol

16.

Judo

Judozentrum Innsbruck

EM Qualifikationsspiel Herren
Jahressubvention
2017
Breitensportförd. –
Trainer Nachwuchs
Infrastrukturprojekt –
Sportstätten

17.

Judo

Judozentrum Innsbruck

18.

Judo

Judozentrum Innsbruck

19.

Kegeln

20.

Laufen

21.

Laufen

22.

Laufen

23.

Laufen

24.

Seniorensport

Tiroler Sportkegler-Verband
Turnerschaft Sparkasse
Innsbruck
Turnerschaft Sparkasse
Innsbruck
Turnerschaft Sparkasse
Innsbruck
Turnerschaft Sparkasse
Innsbruck
Turnerschaft Sparkasse
Innsbruck

25.

Ski + Snowboard

TU Innsbruck / Ski + Snowboard

26.

Ski + Snowboard

TU Innsbruck / Ski + Snowboard

27.

Tennis

28.

Turnen

TC Hungerburg
Landesfachverband für Turnen in
Tirol

29.

Volleyball

Tiroler Volleyballverband

30.

Volleyball

Hypo Tirol Volleyballturnier

31.

Volleyball

TI – Volley

32.

Volleyball

TI – Volley

33.

Volleyball

TI – Volley

€ 6.000,--

einstimmig angenommen

1/269000-757500

€ 23.000,--

einstimmig angenommen

1/269000-757500

€ 7.000,--

einstimmig angenommen

1/269000-757500

€ 8.000,--

einstimmig angenommen

1/269000-757500

Olympiaförderung
Jahressubvention
2017

€ 7.000,--

einstimmig angenommen

1/269000-757500

€ 12.500,--

einstimmig angenommen

1/269000-757500

Innsbrucker Stadtlauf

€ 6.000,--

einstimmig angenommen

1/269000-757500

€ 1.500,--

einstimmig angenommen

1/269000-757500

€ 2.000,--

einstimmig angenommen

1/269000-757500

€ 11.000,--

einstimmig angenommen

1/269000-757500

€ 3.100,--

einstimmig angenommen

1/519000-757510

€ 5.000,--

einstimmig angenommen

1/269000-757500

€ 5.000,--

einstimmig angenommen

1/269000-757500

€ 15.000,--

einstimmig angenommen

1/269000-757500

€ 9.500,--

einstimmig angenommen

1/269000-757500

€ 15.200,--

einstimmig angenommen

1/269000-757500

€ 28.000,--

einstimmig angenommen

1/269000-757400

€ 10.500,--

einstimmig angenommen

1/269000-757500

€ 19.000,--

einstimmig angenommen

1/269000-757500

€ 1.500,--

einstimmig angenommen

1/269000-757500

Frühlingslauf –
01.04.2017
17. IKB Silvesterlauf
Innsbruck
6. Nightrun mit TM
Halbmarathon
Jahressubvention
2017
Snowboardcross
battle Kühtai
Slopestyle/Big Air
Masters 2017
Generalsanierung
der 4 Tennisplätze
Jahressubvention
2017
Jahressubvention
2017
Hallenkosten 2017
Jahressubvention
2017
Hallenkosten USI
2017
Durchf. und Organ.
ÖM U19 + Qualif.
Seite 2 von 3